网站首页  词典首页


请输入您要查询的字词:

 

字词 罐头的杀菌
类别 中英文字词句释义及详细解析
释义

罐头的杀菌


(一)杀菌的意义

罐头食品杀菌的目的是杀死食品中所污染的致病菌、产毒菌、腐败菌,并破坏食物的酶,使食品贮藏二年以上而不变质,但是热力杀菌时必须注意尽可能保存食品品质和营养价值,最好能做到有利于改善食品品质。

罐头杀菌与医疗卫生、微生物学研究方面的“灭菌”概念有一定的区别。它并不要求达到“无菌”水平,但不允许有致病菌和产毒菌存在,罐内允许残留有微生物或芽孢,只是它们在罐内特殊环境中,在一定的保质期内,不至于引起食品腐败变质。

罐头食品的杀菌,对罐内食品也起到一定的调煮作用,从而改进食品的风味,调整食品的组织,以更符合食用要求。

杀菌的温度越高,时间越长,则杀菌的程度越彻底,但罐内食品的质量损失也越大。因此,罐头在加热杀菌时,杀菌条件(即温度和时间)的合理制定,对产品质量影响很大。

(二)影响罐头杀菌效果的主要因素

影响罐头杀菌效果的因素很多,如食品在加工过程中的污染程度、食品的成分、性质、传热速度等。

1.食品杀菌前的污染情况

(1)污染微生物的种类 罐头食品,从原料进厂到装罐密封为止,经常污染各种微生物。所污染微生物的种类及污染率的高低与原料状况、工厂环境卫生、车间卫生、机器设备和工器具的卫生、生产操作工艺条件、操作人员个人卫生等有密切关系。

食品中污染的微生物种类很多,微生物的种类不同,其耐热性也有很大差别,即使同一种菌,菌株不同,其耐热性也有很大差别。非芽孢菌、酵母、霉菌以及芽孢菌的营养细胞的耐热性较低。一般来说,营养细胞在70~80℃温度下加热很短时间内便可杀死,细菌芽孢的耐热性很强,其中又以嗜热菌的芽孢为最强,在55℃时生长得非常好,最高能耐75~80℃。厌氧菌芽孢的耐热性次于嗜热菌的芽孢。需氧菌芽孢的耐热性最弱。细菌芽孢的耐热性,因加热处理前的状态(如繁殖条件、菌龄、贮藏环境)不同而不同。同一菌株芽孢,从加热处理后残存芽孢再形成的新生芽孢,较原芽孢的耐热性强。

无芽孢细菌在60~80℃下的致死时间只需几分钟。霉菌中仅有少数几种具有较高的耐热性。酵母的耐热性低于霉菌,能承受的温度界限为40~70℃,但其孢子的耐热性较高。

(2)罐头食品中微生物污染数量的影响 微生物的耐热性,与一定容积中所污染微生物的数量有一定的关系,最初污染微生物的数量越多,所需致死时间越长。

杀菌前微生物的污染量与杀菌后微生物的残存量有如下关系:

式中 t——杀菌时间

K——微生物的致死率,K与微生物的特性(抗热性S,化学特性A)、杀菌温度ts有关,即K=f(5,A,ts)

a——最初的(杀菌前)的微生物污染量

b——表示杀菌后的微生物最终残留量

从上式可以看出,杀菌条件相同,即ts和t是定数时,对某一微生物而言,S、A也是一定的。因此b取决于a,污染量a越大,残留量b也越大。

2.食品的成分与杀菌关系

微生物的抗热性,在很大程度上与加热时的环境条件有关。如食品成分中的酸、油脂、蛋白质、盐类、植物杀菌素等均可影响微生物的耐热性。

(1)食品的酸度 食品中的酸度对微生物的耐热性影响很大,酸度高的食品能抑制微生物的发育,在杀菌时可适当降低温度,缩短时间,酸度低的食品,则需提高杀菌温度,延长时间。罐头食品的杀菌,根据食品酸度的不同可分为两类:一类的酸性食品(pH在4.5以下),如各种水果罐头、果酱、果汁及部分蔬菜罐头,通常其杀菌温度不超过100℃。另一类是低酸性食品(pH在4.5以上),如水产类、肉类、禽类、部分蔬菜等罐头,一般杀菌温度要在100℃以上。

(2)食品的化学成分 罐头内容物的油脂、蛋白质、低浓度的盐水、糖水等能增强微生物的抗热性;而含有植物杀菌素的食品,如芹菜、洋葱、辣椒,则具有对微生物抑菌或杀菌的作用。因此,在制定杀菌方式时,应根据不同性质的食品分别对待。

3.罐头食品杀菌时的传热情况

罐头加热杀菌时,热的传递主要是借助热水或蒸气介质,其热力由罐外表面至罐头中心的速度,对杀菌条件有很大影响。影响罐头食品传热速度的因素,主要有:

(1)罐头容器的种类和形式。镀锡薄板罐较玻璃罐传热快,因此杀菌时其它条件相同,则玻璃罐的杀菌时间需稍延长。

罐型越大,则热由罐外传至罐头中心所需时间越长,而以传导为主要传热方式的罐头更为明显。

小罐比大罐传热快,同容积的罐头,扁罐比矮罐传热快。装同一种食品的各种圆罐传热至其中心部分所需时间,在罐头高度大于直径时,大体上与罐头半径的平方成正比关系。

(2)食品的种类和装罐状态。流质食品,由于对流作用而传热较快;但糖液、盐水或调味液等传热速度,随其浓度的增加而降低。固体食品如午餐肉等,主要靠传导作用来传热,因而传热速度慢。块状食品加汤汁的比不加汤汁的传热快,汤汁越多,传热越快。块状大的较块状小的传热慢。半流质食品随着浓度(稠度)的增高,其传热方式趋向传导作用,故传热较慢,特别是有些半流质食品,当温度达某种程度时,半流质逐渐变为胶冻状态(如玉米糊罐头),使整个加温过程成为前快后慢。总之,各种食品含水量的多少、块状的大小、装填的松紧、汁液的多少与浓度等,都直接影响到传热速度,加热杀菌时须全面加以考虑。

(3)罐头的初温与杀菌关系。罐头在杀菌前的中心温度叫“初温”。初温高低,与杀菌效果有密切关系。如在杀菌前提高罐内食品初温(装罐时提高食品和汤汁的温度,排气密封后及时杀菌),就容易在预定时间内获得杀菌效果,这对于不易形成对流和传热较慢的罐头更为有利。

(4)杀菌锅的形式和罐头在杀菌锅中的位置与罐头杀菌的关系。目前我国很多工厂还采用静置间隙的立式或卧式杀菌锅。罐头在锅中静止不动的固定在某一位置进行杀菌,因而不仅热传导性能差,且罐头在锅中的上、中、下层受热不易均匀,易发生蒸煮过度或杀菌不彻底现象。因此须注意罐头装篮筐(笼)的方法及杀菌篮筐的结构以及杀菌锅进汽管路,须使进入杀菌锅内的蒸气保持畅通和对流,防止阻碍蒸气流通造成死角。

采用回转式杀菌锅杀菌,罐头受热较均匀能显着改进罐头质量。罐内食品形成机械对流,从而提高传热性能,加快罐内中心温度上升,因而可缩短杀菌时间。

(三)微生物耐热性的表示方法

1.加热致死速度曲线和加热致死时间曲线

微生物的死亡速度是以指数递减或以对数级下降的。图2-13-13所示为微生物加热致死速度曲线或称活菌残存数曲线,纵坐标表示每1mL中的芽孢的对数值,横坐标表示加热时间(min)。图2-13-14所示为加热致死时间曲线(TDT曲线)。纵坐标表示加热致死时间/min的对数值,横坐标表示加热杀菌温度/℃。

图2-13-13 加热致死速度曲线

图2-13-14 加热致死时间曲线

如图2-13-13和图2-13-14所示,所看到的曲线都是一条直线。因此,致死速度常数或称致死率K是加热致死速度曲线的斜率,可用公式表示:

式中 a——加热杀菌前的细菌数

b——经加热杀菌后的细菌残存数

τ——加热杀菌时间

图2-13-14加热致死时间曲线中,细菌的致死时间τe与加热杀菌温度ts之间的关系可根据Arrhemius法则表示如下:

式中 to——标准温度

ts——杀菌温度

τe——在to温度下的致死时间

τe′——ts温度下的致死时间

Z——lg(τe/τe′)=1时的(to-ts),即一个对数循环所相应的温度差

一般标准温度to采用121.1℃,这时τe′称为F值。故式(2-13-3)可用下式表示:

2.D值、Z值和F值及三者之间的关系

(1)D值(Decimal reduction time) D值表示在规定的温度下,杀死90%细菌数(或芽孢数)所需时间。如在100℃下杀死90%细菌数,需要10min,则该菌在100℃下的耐热性便可用D100=10(min)表示。在加热致死速度曲线图上D值表示:在纵坐标上细菌减少数为一个对数循环时,所对应的横坐标上的加热时间,它是直线斜率K值的倒数,表示微生物的抗热能力,不同种类微生物的D值是不同的,如图2-13-15所示。

图2-13-15 活菌曲线

D值可按下式计算:

(2)TRT(Thermal reduction time)值 TRT值表示加热指数递减时间,是指在某一加热温度下,将细菌或芽孢数减少到某一个数(10-n)时所需要的加热时间。Ball将n指数称为递减指数(Reduction exponent),并用TRTn表示。例如将供试验的细菌从最初的100万个减少到1个时,即减少到10-6个需要5min,那么TRTn值就可用TRT6=5min表示。

(3)Z值 Z值是指加热致死时间或D值按1/10或10倍变化时,所相应的加热温度的变化。Z值是加热致死曲线斜率的倒数,即TDT曲线纵坐标致死时间为一个对数循环时,所相应横坐标上的温度差。不同种类微生物的Z值不相同。对于低酸性食品要求F。值时,规定Z=10℃。酸性食品采用沸水或80~90℃热水杀菌时,一般Z=8℃。

(4)F值 F值为杀菌致死值,表示在一定温度下杀死一定浓度细菌(或芽孢)所需要的时间(min)。通常是表示标准温度为121.1℃或100℃时的致死时间。而非标准温度时的F值,则须在F的右下角注明温度,如F116=3.96min,即表示温度为116℃时F值为3.96min。

以纵坐标为D的常用对数值,横坐标为加热杀菌温度ts,作D与ts关系曲线图2-13-16。这个曲线称为拟加热致死时间曲线(Phanton-TDT)。图中ts1的D值为D1,ts2的D值为D2,于是可得到D值与Z值的关系:

图2-13-16 D与ts关系(拟加热致死曲线)

当lgD2-lgD1=1时,直线的斜率tgα等于Z值的倒数:

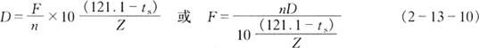
D值并不表示全部的杀菌时间,因此无法求出F值。但引入TRT概念就可以求出F值。在TRT曲线里,根据某一细菌递减指数n时的TRTnn,及D=τ/(lga-lgb)公式,若

τ=τn,lga-lgb=n时,则nD=τn (2-13-9)

根据lg(τe/τe′)=(121.1-ts)/Z,如果τ=τ0n,而标准温度121.1℃下的τe′可用F表示。

可见在121.1℃时求得的D值乘以n就得到F值,即

F=nD (2-13-11)

n数不是固定值,随工厂卫生条件、食品污染微生物的种类和数量而变化。例如肉毒梭菌,每1mL的芽孢数从1012降到100,即n=12(12D121.1或TRT12),对于P.A.3679脂肪芽孢杆菌从105降至100,即n=5(5D12111或TRT5)。

在美国用“6D”值来杀死嗜热芽孢菌,用“12D”值来杀死肉毒梭菌,以确保食品的安全性。在美国,罐头成品的败坏率一般控制在万分之一。用“6D”值加热杀菌时,可使最初细菌芽孢数由106个降至一个。增加D值可以降低罐头的败坏率,但可能造成产品质量的下降,因此在美国允许有万分之一的败坏率,即每1个罐头中有100个芽孢,那么10000个罐头中,就有106个芽孢,经“6D”值加热杀菌后的芽孢数不超过1个,也就是说10000个罐头中仅有1个罐头败坏。

根据式(2-13-10)可以得出F值和Z值的关系:

式中 τe——在温度ts下的加热致死时间

ts——加热杀菌温度

罐头制品中,肉类罐头多为pH4.5以上的低酸性和中性食品,在这类食品中,主要选择抗热性最强的,或对人体具有毒性的那种腐败菌作为杀菌对象。国外一般采用肉毒杆菌、P.A.3679脂肪芽孢杆菌,其中肉毒杆菌最常用。它们在标准温度D(121.1℃,100℃)条件下,肉毒杆菌的D121.1=1~2(min);嗜热脂肪芽孢菌D121.1=4~5(min)。

(四)杀菌规程

确定杀菌规程,主要是确定其必要的杀菌温度和杀菌时间。杀菌规程首先必须保证食品的安全性,同时也应考虑食品的营养价值和商品价值。一般的杀菌规程表示为:

式中 τn——杀菌锅内的介质由初温升到规定的杀菌温度时所需要的时间/min

蒸汽杀菌时是指从进蒸汽开始至达到杀菌温度ts时的时间,热水杀菌时是指通入蒸汽使热水达到沸腾时所需要的时间,通称为升温时间。τp表示杀菌锅内的介质达到规定的杀菌温度ts,并在该温度下所维持的时间/min,通称为恒温杀菌时间。τe表示杀菌锅内的介质,由杀菌温度ts降到出罐时的温度所需要的时间/min,若是蒸汽杀菌,该时间是指降压冷却时间,通称为冷却时间。ts表示杀菌锅内的规定杀菌温度,一般用℃表示。

必须注意,上式所表示的恒温杀菌时的温度,是指杀菌锅内介质的温度,不是罐头中心温度。由于传热是从外到里,因此罐头中心温度总是比杀菌锅内的温度晚些达到规定的杀菌温度。在恒温杀菌阶段,杀菌锅内的温度保持不变,而罐头中心温度仍继续升高,直至达到规定的杀菌温度为止,实际上还略低一些。在冷却阶段,杀菌锅内的温度迅速下降,而罐头中心温度下降得较缓慢。

在制定杀菌规程时,必须注意到工厂所在地区的海拔高度,对于沸水杀菌时尤为重要。海拔高的地区,其大气压力比海平面的大气压低,沸点也低。海拔越高,大气压越低,水的沸点也就越低,其关系见表2-13-12和表2-13-13。

表2-13-12 海拔高度与大气压的关系

表2-13-13 水的沸点与大气压的关系

一般来说,采用沸水杀菌时,水的沸点每降低1℃,杀菌时间应延长3~3.5min。

(五)杀菌方法

根据罐头食品原料品种的不同及所采用的包装容器的不同,其杀菌操作要求也不同。目前常用的有常压杀菌、加压蒸气杀菌及加压水杀菌等几种。

1.常压杀菌

该法是将罐头放在常压热水或沸水中进行杀菌,杀菌的温度不超过100℃,大多数水果和部分蔬菜罐头采用这种杀菌方式。常压杀菌分为间歇式和连续式常压杀菌。间歇式常压杀菌适合于小规模生产的企业,设备成本较低。连续式常压杀菌适合大规模生产企业,设备造价较高。

间歇式常压杀菌须注意,在将待杀菌的罐头放入杀菌锅内沸水(热水)中时,可将罐头预热到50℃后,再放入杀菌锅内杀菌,以免锅内水温的急速下降和玻璃罐的破裂。待锅内热水再次升至预定的杀菌温度时,才开始计算杀菌时间,并保持杀菌温度至终了。罐头应全部浸没在水中,最上层的罐头应在水面以下10~15cm。水的杀菌温度以温度计的读数为准。杀菌结束后,立即将罐头取出,并迅速冷却,一般采用水池冷却法。

常压连续杀菌时,一般以水为加热介质。罐头从预热、杀菌至冷却全过程均在杀菌机内完成,杀菌时间可由调节输送带的速度来控制。自动化程度较高,罐头杀菌连续进行。

2.高压蒸汽杀菌

低酸性食品,如大多数蔬菜、肉类及水产类罐头食品,都须采用100℃以上的高温杀菌,一般使用高压蒸汽来达到高温。由于设备类型不同,杀菌操作方法也不同,现介绍常用的高压蒸汽杀菌方法。将装完罐头的杀菌篮放入杀菌锅。关闭杀菌锅的门或盖,并检查其密封性。关掉进、排水阀,开足排汽阀和泄汽阀。检查所有的仪表、调节器和控制装置。然后开大蒸汽阀使高压蒸汽迅速进入锅内,迅速而充分地排除锅内的全部空气,同时使锅内升温。在充分排汽后,须将排水阀打开,以排除锅内的冷凝水。排尽冷凝水后,关掉排水阀,随后再关掉排汽阀,泄汽阀仍开着,以调节锅内压力。待锅内压力达到规定值时,必须认真检查温度计读数是否与压力读数相应。若温度偏低,说明锅内还有空气存在,此时需要打开排汽阀,继续排尽锅内的空气,然后再关掉排汽阀。当锅内蒸汽压力与温度相应,并达到规定的杀菌温度和压力时,开始计算杀菌时间,并通过调节进汽阀和泄汽阀,来保持锅内恒定的温度,直至杀菌结束。恒温杀菌延续到预定的杀菌时间后,关掉进汽阀,并缓慢打开排汽阀,排尽锅内蒸汽,使锅内压力降至大气压力。若在锅内常压冷却,即按锅内常压冷却法进行操作。或将罐取出放在水池内冷却。

3.加压水杀菌

凡肉类、鱼类的大直径扁罐、玻璃罐以及蒸煮袋都可采用加压水杀菌或称高压水杀菌。此法的特点是能平衡罐内外压力,对于玻璃罐及蒸煮袋而言,可以保持罐盖及封口的稳定,同时能够提高水的沸点,促进传热。高压由通入的压缩空气来维持,不同压力,水的沸点就不同,其关系见表2-13-14。必须注意,高压水杀菌时,压力必须大于该杀菌温度下相应的饱和蒸汽压力,一般大于21~27kPa,否则可能产生玻璃罐的跳盖及蒸煮袋封口爆裂现象。高压水杀菌时,其杀菌温度应以温度计读数为准。

表2-13-14 高压锅压力与相应温度计温度的关系

高压水杀菌的操作过程如下:将装好罐头的杀菌篮放入杀菌锅,关闭锅门或盖,保持密闭性。关掉排水阀,打开进水阀,向杀菌锅内注水,使水位高出最上层罐头15cm左右。对玻璃罐来说,为防止玻璃罐遇冷水破裂的现象,一般可先将水预热至50℃左右,再通入锅内。进水完毕后,关掉所有的排气阀和溢水阀,进压缩空气,使罐内压升至杀菌温度相应的饱和水蒸气压,为21~27kPa,并在整个杀菌过程中维持这个压力。进蒸气,加热升温,使水温升到规定的杀菌温度,以插入水中的温度计来测量温度。升温时间一般是随蒸气进入量的大小及产品要求等条件而定,一般为25~60min。当锅内水温达到规定的时间、温度时,开始恒温杀菌,按工艺规程维持规定的杀菌条件。杀菌结束,关掉进气阀,打开压缩空气阀,同时打开进水阀进行冷却。对于玻璃罐,冷却水须预热到40~50℃后再通入锅内,然后再通入冷却水进行冷却。冷却时,锅内压力由压缩空气来调节,必须保持压力的稳定。当冷却水灌满后,打开排水阀,并保持进水量与出水量的平衡,使锅内水温逐渐降低。当水温降至38℃左右,即可关掉进水阀、压缩空气阀,继续排出冷却水。冷却完毕,打开锅门取出罐头。降温冷却的全部时间可控制在25~60min之间。

(六)各种杀菌方法的进展情况

目前杀菌方法可分为加热杀菌、冷杀菌、冷热结合杀菌。冷杀菌即射线照射杀菌和抗菌剂杀菌。射线照射杀菌进展不大,仅有少数国家用于个别品种的小批量生产。抗菌剂杀菌又可分为人工合成抗菌剂和天然抗菌剂,天然抗菌剂的研究最近比较活跃,即利用天然中草药达到抗菌、抑菌的目的。但批量应用于食品的生产还未见报道。冷热结合杀菌有一定的发展,但也尚未在生产中大量应用。发展最快且有显着效果的是加热杀菌。现介绍各种杀菌方法的发展情况:

1.静置杀菌

静置杀菌是杀菌方法中最古老的方法,它的特点是设备简单,操作方便,但由于罐头在杀菌过程中是静置不动的,故热传导性能差,罐头受热不均匀,容易产生蒸煮过度或杀菌不足的质量问题。

2.回转杀菌

回转杀菌是使罐头在杀菌过程中做回转运动,罐内形成机械对流,从而提高热传导性能,加快罐头中心温度的上升,显然可以大大改进食品罐头的质量。

较先进的回转式杀菌是前联邦德国创制的一种称为“罗麦脱”(Rotamt)的杀菌设备,这种杀菌锅是由上面的热水贮存锅及下面的高压杀菌锅两个主要部分组成。上锅用作加热过热水用,下锅装置有两套带动杀菌篮回转的传动装置。锅前配有自动锁紧装置及安全锁紧装置;管道部分配有冷水泵供进水冷却用;热水循环泵供下锅热水循环用,前端配有一套自动控制仪表及温度、压力、转动记录仪表。

杀菌开始时,将罐头连篮送入下锅,拧紧自动锁紧装置及安全装置,再由上锅注入比杀菌温度高的热水进行杀菌,其杀菌温度、压力、时间、转动等均为自动控制。按规定时间完成后,一边用泵将杀菌锅内热水抽回上锅,一边注入冷水冷却。

该设备由于采用热水加压杀菌,且罐头在杀菌过程中回转运动,故热传导快速均匀且具有一定的反压作用,用于玻璃罐杀菌,能减少破碎、跳盖。由于热水循环使用,因此可节约蒸气。缺点是不能连续出罐。

在回转式杀菌中,影响杀菌效果的因素有回转的方式和速度以及罐头内容物稠度的大小等。较好的回转方式有头顶头回转,罐头顶隙流遍罐头全身,能够起到充分搅拌的作用,起到缩短杀菌时间,提高罐头质量。回转速度在20~30r/min为宜,最好是间歇回转。内容物的黏稠度以杀菌前较稀,杀菌后较稠为好(特指添加淀粉的罐头食品)。

3.水静压杀菌

水静压杀菌的最大特点是在高压下进行连续杀菌,是利用水在不同的压力下有不同的沸点的原理设计的杀菌方法。其特点是利用水柱的压力可防止蒸气外逸,缺点是设备庞大笨重,且使用不经济,易受罐型限制。

4.螺旋泵杀菌

螺旋泵杀菌是一种新型高压连续杀菌设备。此设备由三组水静压工作机构组成,外形是一排卧式盘管,两端是螺旋泵,中间由盘管连接,此盘管部分组成了具有一定压力的流动蒸气杀菌区。罐头从一端的螺旋泵开口处进入,通过盘管的回转运动,使罐头沿着盘管内壁前进,通过升温、杀菌、冷却三个阶段,然后从另一端的螺旋泵出口处卸出,以完成罐头的高压连续杀菌。螺旋泵杀菌的优点是设备紧凑、体积小、使用经济、操作方便。缺点是受罐型限制,只适用于小罐型,且生产能力较小。

5.高温短时杀菌方法

应用高温短时杀菌,能提高罐内食品质量。其主要方法为微波杀菌。微波有穿透性,可从食品里外同时加热,因此加热速度快且受热均匀,罐头质量好。但目前尚存一些问题,如受食品包装材料的限制,成本较高等。

6.流化床杀菌

流化床杀菌是使罐头通过以砂粒为介质的气体流化床进行杀菌,然后又通过两只气体流化床冷却,完成杀菌过程。在此过程中,完全避免了罐头与水的接触,因而根本上革除了上述热杀菌的潜在问题,即杀菌后冷却水的污染问题。

随便看

 

离鸟网收录3541549条中英文词条,其功能与新华字典、现代汉语词典、牛津高阶英汉词典等各类中英文词典类似,基本涵盖了全部常用中英文字词句的读音、释义及用法,是语言学习和写作的有利工具。

 

Copyright © 2004-2024 vtrois.com All Rights Reserved
更新时间:2026/4/19 9:51:01