网站首页  词典首页


请输入您要查询的字词:

 

字词 缺陷数(c)控制图
类别 中英文字词句释义及详细解析
释义

缺陷数(c)控制图


也称c-图。用于判断生产过程中某一指定单位数大小的产品的缺陷数是否处于或保持在标准所规定水平。c-图实质上与u-图是一样的,只不过c-图要求每个样本容量必须相等而已。设抽取k个(n≥25)容量相同(指定单位数大小n)的样本,第i个样本的缺陷数为ci,则样本缺陷数的均值为;

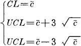
c-图的3条线计算公式是:

随便看

 

离鸟网收录3541549条中英文词条,其功能与新华字典、现代汉语词典、牛津高阶英汉词典等各类中英文词典类似,基本涵盖了全部常用中英文字词句的读音、释义及用法,是语言学习和写作的有利工具。

 

Copyright © 2004-2024 vtrois.com All Rights Reserved
更新时间:2026/4/19 8:58:53