网站首页  词典首页


请输入您要查询的字词:

 

字词 维生素K
类别 中英文字词句释义及详细解析
释义

维生素K


别名 植物甲萘醌、叶绦醌、维生素K1

编码 GB 16.000

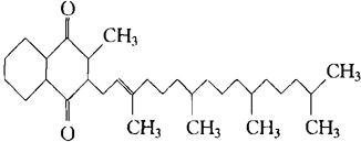
化学结构

C31H46O2 相对分子质量 450.71

性状 黄色至橙色透明的粘稠液体,无臭或几乎无臭,遇光易分解。易溶于氯仿、乙醚或植物油,略溶于乙醇,不溶于水。相对密度约0.967。常压下加热至120℃分解。

制法 以乙酰甲萘醌为原料,在氨水中水解,与植物醇、三氟化硼缩合,再经水解、氧化、提纯、精制而得。为顺式及反式异构体混合物。

质量标准

鉴别方法

(1)取本品1滴,加甲醇10mL、5%氢氧化钾甲醇溶液1mL,振摇,溶液呈绿色,置热水浴中即变成深紫色,放置后呈红棕色。

(2)在每毫升正己烷中含10μg样品的溶液的紫外吸收光谱,与标准品显示有同样的最大和最小吸收波长;在波长248nm处,两者的吸光度相3.0%。

(3)样品的红外吸收光谱与用同样方法制备的标准品相同。

使用 维生素强化剂

1.使用注意事项

(1)维生素K在绿叶蔬菜中含量丰富,水果及各种谷物中含量较低,动物性食物中含量居中。可由肠道微生物合成,并可为机体所利用。

(2)维生素K属脂溶性维生素,它是肝内合成凝血酶原的必需物质。具有凝血作用,缺少本品,血液的凝固出现迟缓。由于新生婴儿其肠道在初生几天内是无菌的,未能取得细菌所合成的这种维生素,故新生儿血浆中的凝血酶原水平很低。维生素K对新生儿具有特殊营养意义。

(3)维生素K族有维生素K1、维生素K2、维生素K3及维生素K4。研究认为,维生素K1参与肝内凝血酶原的合成的作用,较其他维生素K快而强,并较持久。

2.使用范围及使用量 我国《食品营养强化剂使用卫生标准》(GB 14880-94)规定:可用于婴幼儿食品,使用量为420~750μg/kg。

随便看

 

离鸟网收录3541549条中英文词条,其功能与新华字典、现代汉语词典、牛津高阶英汉词典等各类中英文词典类似,基本涵盖了全部常用中英文字词句的读音、释义及用法,是语言学习和写作的有利工具。

 

Copyright © 2004-2024 vtrois.com All Rights Reserved
更新时间:2026/4/19 6:17:55