网站首页  词典首页


请输入您要查询的字词:

 

字词 维生素B2的测定方法
类别 中英文字词句释义及详细解析
释义

维生素B2的测定方法


化学名:7,8-二甲基-10-〔(2S,3S,4R)-2,3,4,5-四羟基戊基〕-3,10-二氢苯并蝶啶-2,4-二酮(3,10-dihydro-7,8-dimethyl-10-〔(2S,3S,4R)-2,3,4,5-tetrahydroxypentyl〕-benzopteridine-2,4-dione

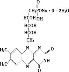
结构式:

分子式:C17H20N4O6

相对分子质量:376.37

一、维生素B2的鉴别

1.试剂和溶液

1.1 稀盐酸溶液 取盐酸1mL,加水稀释至3mL。

1.2 稀氢氧化钠溶液 取氢氧化钠1g,加水溶解并稀释至25mL。

2.操作步骤

取本品约1mg,加水100mL溶解后,溶液在透射光下显淡黄绿色,并有强烈的黄绿色荧光。取此溶液25mL,加入0.5mL稀盐酸溶液,荧光消失;另取此溶液25mL,加入2滴稀氢氧化钠溶液,荧光消失。

二、维生素B2

1.试剂和溶液

1.1 冰乙酸。

1.2 乙酸钠溶液 称取乙酸钠(GB-694)3.5g至250mL量瓶中,加水稀释至刻度,摇匀。

2.仪器

分光光度计。

3.测定方法

避光操作。称取本品150mg(准确至0.0002g),置烧杯中,加冰乙酸2mL和水200mL,直至火煮沸溶解后,放冷,移置500mL量瓶中,加水稀释至刻度,摇匀。精密量取5mL,置100mL量瓶中,加乙酸钠溶液7mL,加水稀释至刻度,摇匀。按分光光度法,在波长444nm处,1cm杯,以水作空白,测定吸光度。

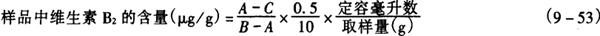
4.分析结果的表述

式中 w——核黄素的含量,%

323——C17H20N4O6的吸收系数

A——吸收度

m1——样品的质量,g

x2——干燥失重,%

5.允许差

本方法平行测定的允许绝对差在1.5%以内。

三、维生素B2的衍生物

化学名:核黄素酪酸酯(Riboflavin Tetrafutyrate)

结构式:

分子式:C33H44N4O10

相对分子质量:656.74

化学名:核黄素磷酸酯钠(Riboflavin phosphate sodium)

结构式:

分子式:C17H20N4NaO9P

相对分子质量:478.33

四、维生素B2的测定方法

(一)荧光法

1.原理

维生素B2能形成一种具有黄绿色荧光的黄色溶液,在稀溶液中维生素B2的荧光强度与其浓度成正比,用高锰酸钾破坏干扰物质,利用维生素B2可被连二亚硫酸钠还原为非荧光性物质,来消除其他可还原性荧光物质的干扰。根据还原前后的差数,可测得维生素B2的含量。

2.试剂和溶液

2.1 25μg/mL维生素B2储备液 3mL冰醋酸中溶解25mg维生素B2,如需要可适当加温,并用水稀释到1000mL,在冰箱中保存,避免强光照射。

2.2 0.5μg/mL维生素B2标准液 取维生素B2贮备液1mL,用水稀释至50mL,随用随配。

2.3 50μg/mL荧光素钠贮备液 将50mg荧光素钠溶于1000mL水中。

2.4 O.05μg/mL荧光素钠应用液 将1mL荧光素钠储备液稀释至1000mL。

2.5 连二亚硫酸钠Na2S2O4 俗称保险粉,白色固体粉末。

2.6 0.1mol/LHCl溶液。

2.7 1mol/LHCl溶液。

2.8 40%NaOH溶液。

2.9 冰醋酸。

2.10 3%高锰酸钾溶液。

2.11 3%过氧化氢溶液(用时现配)。

3.仪器

荧光光度计。

4.测定方法

4.1 样品的提取。

4.1.1 称取若干磨细混匀的样品(根据经验,谷类、豆类、鱼、肉等取2~5g,水果、蔬菜取10~20g)置于150mL的三角瓶中,加入50mL0.1mol/LHCl,在高压锅中蒸煮30min。

4.1.2 样品经高压蒸煮后,冷却至室温,滴加40%氢氧化钠使pH至6.0,再迅速用1mol/LHCl调至pH4.5,使蛋白质等杂质沉淀。

4.1.3 用水稀释,定容至100mL,混匀后过滤,得清液,弃去最初的几毫升滤液。

4.2 提取液的脱色。

4.2.1 用移液管吸取4份10mL的样品液分别放入25mL的具塞试管中,并分成A、B两组。

4.2.2 在A组的两个试管中分别加入1mL水,在B组的两个试管中分别加入1mL维生素B2标准液(0.5μg/mL)。

4.2.3 在以上4个试管中各加入1mL冰醋酸和0.5mL 3%的高锰酸钾溶液,混匀后放置2min以充分氧化样品内的杂质。

4.2.4 在以上4个试管中各加入0.3mL 3%H2O2,混匀使之褪色。

4.3 荧光测定。

4.3.1 选用激发波长为400nm,发射波长为530nm的两块滤光片,用荧光素钠溶液调整指针,使之每次都在一定的读数上(如50~80)。

4.3.2 测A管的荧光读数为A。

4.3.3 测B管的荧光读数为B。

4.3.4 在A管内加20mgNa2S2O4,并混合,迅速测定,其荧光读数为C。

5.分析方法的表述

注:核黄素酪酸酯含量(μg/100g)=核黄素含量(μg/100g)×1.745

核黄素磷酸酯含量(μg/100g)=核黄素含量(μg/100g)×1.271

(二)比色法

在波长225nm、230nm、375nm及445nm处核黄素水溶液有最大吸收值。在波长445nm处测定用连二亚硫酸钠脱色前后溶液的吸光度,与同样操作的标准品比较可以定量。

本法不适用在波长445nm附近有最大吸收的共存物质的样品。

随便看

 

离鸟网收录3541549条中英文词条,其功能与新华字典、现代汉语词典、牛津高阶英汉词典等各类中英文词典类似,基本涵盖了全部常用中英文字词句的读音、释义及用法,是语言学习和写作的有利工具。

 

Copyright © 2004-2024 vtrois.com All Rights Reserved
更新时间:2026/4/18 18:43:22