网站首页  词典首页


请输入您要查询的字词:

 

字词 维生素B2
类别 中英文字词句释义及详细解析
释义

维生素B2


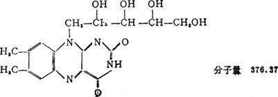
别名 核黄素

结构式

性能 橙黄色结晶性粉末,微嗅,味微苦。极微溶于水,几乎不溶于乙醇、氯仿或乙醚,溶于稀氢氧化碱溶液。水溶液易变质,碱性溶液遇光变质更快。熔点280℃(分解)。本品参与体内许多氧化还原反应和糖、蛋白质及脂肪的代谢,维持眼正常视觉功能。缺乏时会引起口角炎、唇炎、脂溢性皮炎和毛发脱落等。

用途 用于化妆品中,保护皮肤,防治脂溢性皮炎。

包装贮运 置棕色玻璃瓶中,避光密封保存。

国内生产厂 北京制药厂、上海葡萄糖厂、天津河北制药厂、陕西西安制药厂、湖南衡阳制药厂。

随便看

 

离鸟网收录3541549条中英文词条,其功能与新华字典、现代汉语词典、牛津高阶英汉词典等各类中英文词典类似,基本涵盖了全部常用中英文字词句的读音、释义及用法,是语言学习和写作的有利工具。

 

Copyright © 2004-2024 vtrois.com All Rights Reserved
更新时间:2026/4/19 18:39:44