网站首页  词典首页


请输入您要查询的字词:

 

字词 维生素B1的测定方法
类别 中英文字词句释义及详细解析
释义

维生素B1的测定方法


一、名称

化学名:氯化3-[(4-氨基-2-甲基-5-嘧啶基)甲基]-5-(2-羟基乙基)-4-甲基-噻唑鎓盐酸盐;3-[(4-amino-2-methy-5-pyrimi dinyl)methyl]-5-(2-hydroxy-ethyl)-4-methylthiazolechlor ide monohydrochloride

别名:硫胺素盐酸盐;维生素B1盐酸盐

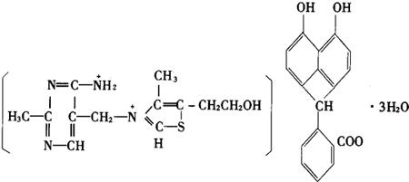
结构式:

分子式:C12H17CIN4OSHCl

相对分子质量:337.27

化学名:硫胺硝酸盐(Thiamine mononitrate)

别名:维生素B1硝酸盐

结构式:

分子式:C12H17N5O4S

相对分子质量:327.36

化学名:硫胺十六(烷)硫酸(Thiamine Dicetylsulfate)

别名:维生素B1十六(烷)硫酸盐

结构式:

分子式:C44H84N4O9S3·H2O

相对分子质量:927.39

化学名:硫胺硫氰酸(Thiamine Thiocyanate)

别名:维生素B1硫氰酸盐

结构式:

分子式:C13H17N5OS2·H2O

相对分子质量:341.46

化学名:硫胺萘-1,5顺式二磺酸盐(Thiamine Naphthalene-1,5-disulfonate)

别名:维生素B1萘-1,5-顺式二磺酸盐

结构式:

分子式:C22H24N4O7S3·H2O

相对分子质量:570.67

化学名:硫胺萘-2,6-顺式二磺酸盐

别名:维生素B1萘-2,6-顺二磺酸盐

结构式:

分子式:C34H40N8O8S4·4H2O

相对分子质量:889.06

化学名:硫胺酚酞盐(Thiamin phenolphthalinate)

别名:维生素B1酚酞盐

结构式:

分子式:C32H32N4O5S·3H2O

相对分子质量:638.75

化学名:硫胺十二烷硫酸盐(Thiamina Dilauryl Sulfate)

别名:维生素B1十二烷硫酸盐

结构式:

分子式:C36H68N4O9S3·H2O

相对分子质量:815.17

二、维生素B1(盐酸盐)的鉴别

1.试剂和溶液

1.1 正丁醇。

1.2 二氧化锰。

1.3 硫酸。

1.4 氢氧化钠溶液 取氢氧化钠适量,制成40g/L溶液。

1.5 铁氰化钾溶液 取铁氰化钾适量,制成100g/L溶液。

1.6 淀粉指示液 取可溶性淀粉适量,制成5g/L溶液。

1.7 碘化钾淀粉试纸 取滤纸条浸入含有碘化钾0.5g的新制的淀粉指示液100mL中,湿透后,取出干燥,即得。

2.操作步骤

2.1 称取样品约5mg,加氢氧化钠溶液2.5mL溶解后,加铁氰化钾溶液0.5mL与正丁醇5mL,剧烈振摇2min,放置使分层,上面的醇层显强烈的蓝色荧光。加酸使成酸性,荧光即消失;再加碱使成碱性,荧光又显出。

2.2 本品的水溶液呈氯化物的鉴别反应。称取样品0.5g,置干燥管中,加二氧化锰0.5g,混匀,加硫酸湿润缓缓加热,即产生氯气。能使湿润的碘化钾淀粉试纸显蓝色。

三、维生素B1盐酸盐含量的测定

(一)重量法(仲裁法)

1.试剂和溶液

1.1 盐酸。

1.2 丙酮。

1.3 硅钨酸溶液:取硅钨酸适量,制成100g/L溶液。

1.4 盐酸溶液:取盐酸适量,制成溶液(1→20)。

2.测定方法

称取样品0.05g(准确至0.0002g),加水50mL溶解后,加盐酸2mL,煮沸,立即滴加硅钨酸溶液4mL,继续煮沸2min,用80℃恒重的垂熔玻璃坩埚滤过,沉淀,先用煮沸的盐酸溶液20mL分次洗涤,再用水10mL洗涤1次,最后用丙酮洗涤2次,每次5mL,在80℃干燥至恒重,精密标定。

3.分析结果的表述

维生素B1(盐酸硫胺)含量以质量分数(w)表示,按式(9-49)计算:

式中 m1——干燥后沉淀的质量,g

m2——样品质量,g

w1——样品干燥失重,%

0.1939——盐酸硫胺硅钨酸盐换算成盐酸硫胺的因素

所得结果应表示至1位小数。

4.允许差

本方法平行测定的允许相对差在0.5%以内。

(二)非水滴定法

1.试剂和溶液

1.1 冰乙酸。

1.2 乙酸汞溶液 取乙酸汞适量,制成5%(质量分数)溶液;

1.3 高氯酸标准滴定溶液 取高氯酸适量,制成0.1mol/L溶液。

1.4 喹哪啶红-亚甲蓝混合指示液 喹哪啶红0.3g,亚甲蓝0.1g,加甲醇至100mL。

2.测定方法

取本品约160mg(准确至0.0002g),加冰乙酸20mL,微热溶解,冷至室温,加5%乙酸汞溶液5mL,喹哪啶红-亚甲蓝混合指示液2滴,以高氯酸标准滴定溶液(0.1mol/L)滴定至天蓝色,强烈振摇,0.5min不褪色即为终点。并将滴定的结果用空白试验校正。

3.分析结果的表述

维生素B1(盐酸硫胺)含量以质量分数(w)表示,按式(9-50)计算:

式中 V——样品消耗高氯酸标准滴定溶液的体积,mL

V0——空白试验消耗高氯酸标准滴定溶液的体积,mL

c——高氯酸标准滴定溶液的实际浓度,mol/L

m3——样品质量,g

x——干燥失重,%

0.1686——与1.00mL高氯酸标准溶液〔c(HClO4)=1.00mol/L〕相当的维生素B1的质量,g

所得结果应表示至1位小数。

4.允许差

本方法两次平行测定的允许相对差在0.3%以内。

四、食品中维生素B1的测定方法

(一)荧光法

1.原理

维生素B1又名硫胺素、抗神经炎素。硫胺素在碱性高铁氰化钾溶液中,能被氧化成一种蓝色荧光物质——硫色素(Thiochrome)。在紫外光下,硫色素发出荧光。在标准条件和没有其他物质存在的情况下,荧光强度与硫色素的浓度成正比。反应式如下:

如样品中所含杂质较多,可用柱层析法处理,使硫胺素与杂质分开,然后洗脱,测定提纯溶液中硫胺素含量。硫胺素能溶于丁醇,其在丁醇中较在水溶液中更为稳定。

2.试剂和溶液

2.1 硫胺素标准贮备液(0.1mg/mL) 将硫胺素(粉状结晶)置于氯化钙干燥器中24h。精确称取干燥的硫胺素100mg(准确至±0.0002g),溶于0.01mol/LHCl溶液中,稀释至1000mL,贮于棕色瓶中(放冰箱内可保存2~3个月)。

2.2 10μg/mL硫胺素标准中间液 取贮备液10mL,用0.01mol/LHCl稀释至100mL(冷藏可保存1周)。

2.3 0.1μg/mL硫胺素标准使用液 吸取中间液1.0mL,用冰稀释至100mL,同时用水醋酸调至pH4.5(用时现配)。

2.4 1%铁氰化钾溶液 1g铁氰化钾溶解于水,稀释至100mL,置于棕色瓶,避光冷藏。

2.5 碱性铁氰化钾溶液 吸取1mL1%铁氰化钾溶液,以15%氢氧化钠稀释至15mL。此溶液需新鲜配制,并避免阳光照射。

2.6 15%氢氧化钠溶液。

2.7 2.5mol/LCH3COONa溶液 205g无水醋酸钠或345g含水醋酸钠用水溶解并稀释至1000mL。

2.8 淀粉酶溶液 取淀粉酶制剂配成2%水溶液或用2.5mol/LCH3COONa溶液配成酶悬浮液(当日现配)。

2.9 25%氯化钾溶液 取250g氯化钾溶解于水,并稀释至1000mL。

2.10 25%酸性氯化钾溶液 取8.5mL浓盐酸,用25%氯化钾溶液稀释至1000mL。

2.11 0.1mg/mL硫酸奎宁贮备液 取100mg硫酸奎宁溶于0.1mol/L(H2SO4)中,并稀释至1000mL。放入棕色瓶,保存于冰箱,若溶液变浑浊,应重配。

2.12 0.15μg/mL硫酸奎宁应用液 取1.5mL硫酸奎宁贮备液以0.1mol/L(H2SO4)稀释至1000mL。

2.13 异丙醇无水。

2.14 0.04%溴甲酚绿指示剂溶液 称取0.1g溴甲酚绿,吸取0.05mol/LNaOH溶液2.9mL,使其溶解,然后用水洗入25mL容量瓶中,即得浓度为0.4%溶液,再用水稀释10倍,成为0.04%溴甲酚绿指示剂溶液。

2.15 0.05mol/LNaOH溶液。

2.16 0.1mol/L(1/2H2SO4)溶液。

2.17 活性人造沸石(30~60目筛) 活化方法:取100g人造沸石,以10倍于其体积的3%热醋酸搅拌2次,每次10min,静置,倒出上清液,再用5倍体积的25%热氯化钾搅拌15min,静置倾去溶液,再用3%热的醋酸搅拌10min,静置倒出液体,然后用热蒸馏水洗至无氯离子为止,放布氏漏斗中抽干,100℃以下烘干,保存在密封的广口瓶中。

3.仪器

荧光计。

4.测定方法

4.1 提取 称取一定量磨细样品(维生素B1含量在10~30μg之间),放入250mL锥形瓶中,加入75mL0.1mol/LHCl溶液,在沸水浴上或压力锅中加热30min,经常摇动,使样品均匀。

用醋酸钠溶液调节提取液的pH至4.5(用溴甲酚绿做指示剂)。提取液冷却至室温,为了使结合性硫胺素游离出来,加入淀粉酶(粮谷类试样可不加淀粉酶,鱼肉类每克加酶20mg,新鲜果蔬每克加酶3mg),在37℃下保温过夜(为防止杂菌生长,在液面上盖一层甲苯),或在45~50℃保温3h。提取液冷却至室温,用水稀释至100mL,混匀后过滤,弃去最初的几毫升溶液。

4.2 纯化 在盐基交换管下端装以玻璃棉或脱脂棉少许,将1.5g人造沸石先用蒸馏水浸泡,搅拌除去气泡后装入盐基交换管中,体积约占管长的1/3(在装管时以及以后的吸附洗脱操作中,液面不能降到沸石层表面以下,否则影响效果),用蒸馏水洗涤,弃去洗液。

吸取25mL提以液,加到已准备好的盐基交换管中,提取液通过沸石的速度为60滴/min左右,弃去滤液。

用热水洗涤盐基交换管3次,每次大约用10mL,弃去洗液。

用约10mL热酸性氯化钾洗脱,待完全流下,但液面恰未下降到沸石层表面时,再加10mL。收集洗脱液于25mL容量瓶中,冷却后用酸性氯化钾液稀释至刻度。

取25mL维生素B1标准应用液(0.1μg/mL),加入另一准备好的盐基交换管中,按上法用热水洗涤,用热酸性氯化钾洗脱收集。

4.3 氧化和萃取 取两个25mL带塞比色管,标明“测定”及“空白”。各准确加入5mL已净化的提取液。在“测定”管内加入3mL碱性铁氰化钾液,在“空白”管内加入3mL15%氢氧化钠溶液。摇匀。两管内各准确加入10mL异丙醇,并剧烈振摇90s。

用标准维生素B1滤去液代替样品提取液,重复上述氧化、萃取操作。数分钟后,有机相与水相即清楚分离开,这时用长的吸管或滴管从比色管底部将水相全部吸出并弃去。

4.4 测定 首先在仪器第一滤光片位置上装上360nm滤光片,在第二滤光片位置上装420nm或450nm滤光片,再打开总开关。15min后将仪器灵敏度倍率转换开到第Ⅲ档×100(3),用0.15μg/mL硫酸奎宁溶液调整仪器指针读数为50,分别测定样品、标样的“空白”管和“测定”管的荧光强度。

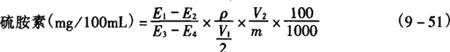
5.分析结果的表述

式中 E1——样品管荧光读数

E2——样品空白管荧光读数

E3——标准管荧光读数

E4——标准空白管荧光读数

ρ——标准溶液浓度,μg/mL

V1——过柱体积,mL

V2——稀释的体积,mL

m——样品质量,g

注:硫胺硝酸盐含量(mg/100g)=硫胺盐酸盐含量(mg/100g)×0.971

硫胺十六烷硫酸盐含量(mg/100g)=硫胺盐酸盐含量(mg/100g)×2.75

硫胺硫氰酸盐含量(mg/100g)=硫胺盐酸盐含量(mg/100g)×1.01

硫胺萘-1,5-顺式二磺酸盐含量(mg/100g)=硫胺盐酸盐含量(mg/100g)×1.69

硫胺萘-2,6-顺式二磺酸盐含量(mg/100g)=硫胺盐酸盐含量(mg/100g)×1.32

硫胺酚酞盐含量(mg/100g)=硫胺盐酸盐含量(mg/100g)×1.89

硫胺十二烷硫酸盐含量(mg/100g)=硫胺盐酸盐含量(mg/100g)×2.42

由各硫胺盐类换算成硫胺盐酸盐的系数如下:

硫胺硝酸盐:1.0303

硫胺十六烷硫酸盐:0.3637

硫胺硫氰酸盐:0.9878

硫胺萘-1,5-顺式二磺酸盐:0.5910

硫胺萘-2,6-顺式二磺酸盐:0.7588

硫胺酚酞盐:0.5280

硫胺十二烷硫酸盐:0.4137

(二)重氮比色法

1.试剂和溶液

除(一)中所用试剂外,还有以下试剂。

1.1 异丁醇 (特级)经检查不含荧光物质。

1.2 4mol/LCH3COONa溶液 称取544g乙酸钠,加水溶解后稀释至1000mL。

1.3 溴化氢溶液 向100mL冷水中加溴水2mL,激烈振摇,混合后滴加冰冷的(1→10)硫氰酸钾溶液至恰到溴素脱色止。此溶液在通气橱中配制,冷处保存(1个月内有效)。

1.4 溴水 特级。

1.5 甲苯 特级。

1.6 硫氰酸钾 特级。

1.7 无水硫酸钠 特级,经检查无荧光。

2.测定液的制备

2.1 铁氰化钾法 按(一)中的提取、纯化步骤制备样品溶液,吸取样品溶液各5mL,分别加到A、B、C3支具塞比色管中。向A管中准确加入1mL标准液,向B、C管中各加1mL水,然后在A、B管中各加0.5mL(1→100)铁氰化钾溶液,C管中加0.5mL水充分振摇混合。再分别向A、B、C管中各加3mL(3→10)氢氧化钠溶液,振摇30s。然后准确各加入10mL异丁醇,密塞,激烈振摇2min,静置分层,用吸管吸取异丁醇层液体各7~8mL,分别放入另外比色管中,各加2g无水硫酸钠(每次少量加入)振摇,静置至异丁醇层澄清,作为测定液。

2.2 溴化氰法 准确吸收(一)中处理好的样品溶液各5mL,分别加入3支具塞比色管中,A管中加1mL标准液。B、C管中,各加1mL水,再向A、B管中各加3mL溴化氰溶液,C管加3mL(3→10)氢氧化钠,充分振摇后,向A、B管中各加3mL(3→10)氢氧化钠,向C管中加3mL溴化氰,充分振摇后再各准确加入异丁醇10mL,密塞,激烈振摇1min,静置分层,然后用吸管吸取异丁醇层溶液各7→8mL,分别加到其他比色管中,各加2g无水硫酸钠(每次少量加入)。振摇混合,静置至异丁醇层澄清,此液作为测定液。

3.测定

向测定液中(含硫胺盐酸盐10~20μg)加入酸性白土,使硫胺被酸性白土所吸附。水洗后加酚溶液,重氮化的对氨基苯乙酮溶液及碱,使其偶合,然后分取酸性白土,进一步把红色色素转溶于二甲苯中,在波长520nm处测定吸光度。此法也是利用硫胺的特异反应,但没有硫胺荧生成反应灵敏。但比硫胺荧荧光法操作简单,适用于硫胺含量高的食品。

随便看

 

离鸟网收录3541549条中英文词条,其功能与新华字典、现代汉语词典、牛津高阶英汉词典等各类中英文词典类似,基本涵盖了全部常用中英文字词句的读音、释义及用法,是语言学习和写作的有利工具。

 

Copyright © 2004-2024 vtrois.com All Rights Reserved
更新时间:2026/4/21 21:53:54