网站首页  词典首页


请输入您要查询的字词:

 

字词 维生素B12的测定方法
类别 中英文字词句释义及详细解析
释义

维生素B12的测定方法


化学名:Coα-〔α-(5,6-二甲基苯并咪唑基)〕-Coβ氰钴酰胺(Cyanocobalamin)

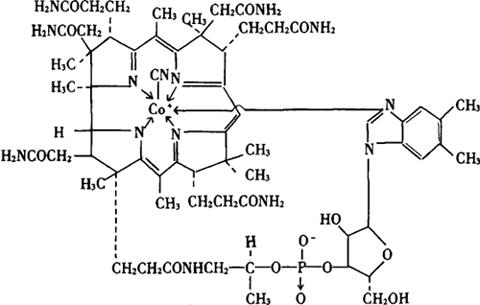
结构式:

分子式:C63H88CoN14O14P

相对分子质量:1355.38

一、维生素B12的鉴别

(1)取本品约1mg,加硫酸氢钾约50mg,置坩埚中,灼烧至熔融,放冷,加水3mL,煮沸使溶解,加酚酞指示液1滴,滴加氢氧化钠试液至显淡红色后,加醋酸钠0.5g、稀醋酸0.5mL与0.2%1-亚硝基-2-萘酚-3,6-二磺酸钠溶液0.5mL,即显红色或橙红色;加盐酸0.5mL,煮沸1min,颜色不消失。

(2)取含量测定项下的溶液,照分光光度法测定,在波长278nm、361nm与550nm处有最大吸收峰。

吸光度361nm与吸光度278nm的比值应为1.70~1.88。

吸光度361nm与吸光度550nm的比值应为3.15~3.45。

二、维生素B12的含量测定

避光操作。取本品,精密称定,加水溶解并定量稀释制成每1mL中约含25μg的溶液,照分光光度法,在波长361nm处测定吸收度,按C63H88C0N14O14P的吸收系数()为207计算,即得。

三、食品中维生素B12的测定微生物法

1.原理

使用醋酸盐缓冲液在pH4.5下从食物中抽出维生素B12。游离的不稳定钴氨素,在氰化钠存在下转变为稳定的氰基钴氨素(Cyanocobalamin)。适当稀释之后,在仔细控制的条件下对维生素B12有特定生长需要的荥氏乳酸杆菌(Lactobacillus leichmanii)所产生的浊度来估算维生素B12的含量。

2.试剂和溶液

2.1 醋酸钠缓冲液 溶解2.9mL冰醋酸(相对密度1.05)和6.8g三水合醋酸钠于水中,并稀释至500mL。

2.2 1%氰化钠溶液 溶解1g于100mL蒸馏水中(毒药,特别小心)。

2.3 维生素B12测定培养基 Difco(0457-15)。对6h肉汁管和标准均用单料。为此每100mL水中溶解4.25g培养基。

微量接种体肉汁:Difco(0320-02),按标签说明制备。

2.4 维生素B12标准贮备溶液 溶解10mg氰基钴氨素于1L25%乙醇-水混合液中。贮存在深色瓶中,冰箱中保存(10μg/mL)至少稳定1个月。

2.5 试验菌 荥氏乳酸杆菌(英国国立工业细菌收藏馆8118号或美国标准菌库7830号)。

3.仪器及设备

测定试管:25mm×150mm和19mm×150mm重型Pyrex玻璃制

水浴:100℃

滤纸:Whatman No.42或No.541,Schleicher and Schiill No.589或No.1505

EEL浊度计

4.测定方法

4.1 萃取 称取0.25~5.0g样品(维生素B12含量不超过40ng)于25×150mm的测定试管中,加20mL醋酸盐缓冲液和2滴氰化钠溶液,用铝箔盖盖好,沉浸在沸水浴中30min,冷却,用水定容至50mL,用Whatman No.42滤纸过滤(不含脂肪的样品用No.541)。必要时滤液冰箱中过夜。

4.2 制备接种体 将菌体从荥氏乳酸杆菌培养基转移到含5mL无菌微量接种体肉汁的试管中,在37℃培养过夜,混匀,无菌地转移一滴到含有5mL用维生素B12强化的单料维生素B12培养基的试管中,于37℃培养6h,用无菌移液管转移一滴到含有10mL单料测定培养基的测定试管中以制备接种体。

4.3 制备测定液 取贮备液(10μg/mL)2mL加氰化钠2mL,用水定容至1000mL,得标准中间液(20ng/mL)。

4.3.1 取标准中间液(20ng/mL)4mL,用水定容至100mL,为标准工作液(0.80ng/mL)。

4.3.2 吸取二份标准工作液:0.0,0.05mL,0.1mL,0.15mL,0.20mL,0.25mL于测定试管中。

4.3.3 必要时,将样品萃取液稀释为0.80ng/mL,吸取0.05mL,0.10mL,0.20mL各二份于测定试管中。

4.3.4 使用适用的分配器,添加10mL单料培养基到每支测定试管,同样加10mL培养基到另外5支测定管中作空白或用于接种体制备中。

4.3.5 盖好所有试管,置121℃杀菌5min,取出,在水浴中冷却到30℃以下。

4.4 试管的接种与培养 在所有测试管中,迅速加1滴接种体,空白除外,于37℃培养22h。

4.5 生长的测定 混匀每组试管的内容物,用未接种的空白管调节EEL浊度计零点,用标准管调读数95%~100%,读侧定管读数。

5.分析结果的表述

以标准维生素B12含量微克数和浊度计读数绘制标准曲线。

从曲线上查得每对测定试管中维生素含量(pg)x1、x2、x3

设:测定用液体数量(mL)分别为V1、V2、V3

则样品萃取液中维生素B12的浓度(x1/V1+x2/V2+x3/V3)/3=apg/mL

维生素B12含量(μg/100g)=(a×V×10-2)/(w×106) (9-64)=a×V/w×104

式中 w——样品质量,g

V——萃取液体积,mL

随便看

 

离鸟网收录3541549条中英文词条,其功能与新华字典、现代汉语词典、牛津高阶英汉词典等各类中英文词典类似,基本涵盖了全部常用中英文字词句的读音、释义及用法,是语言学习和写作的有利工具。

 

Copyright © 2004-2024 vtrois.com All Rights Reserved
更新时间:2026/4/18 23:30:08