网站首页  词典首页


请输入您要查询的字词:

 

字词 绝缘设计
类别 中英文字词句释义及详细解析
释义

绝缘设计


1.绝缘材料的选择

绝缘材料应选用容重小,导热系数小,吸湿性小,不易燃烧,不生虫腐烂,没有异味或毒性的材料。此外,还要考虑来源和价格,故应区别对待。

(1)地坪绝缘 由于要承受地面载荷,故可采用软木、挤塑泡沫保温板、聚苯乙烯泡沫塑料、聚氨酯发泡塑料。

(2)外墙绝缘 目前多采用聚氨酯发泡塑料或聚苯乙烯泡沫塑料。

(3)天棚绝缘 采用聚苯乙烯泡沫塑料,也可采用聚氨酯发泡塑料。

(4)冷库门 采用聚苯乙烯泡沫塑料或聚氨酯发泡塑料。

2.冷库隔汽层计算

简化计算公式: qf=k△t

(1)每平方米围护结构传入热量 选择qf≤11.6W/m2,国外有的采用qf=7~9W/m2

围护结构传热系数k值,见表6-6-2。

表6-6-2 围护结构传热系数k值表

室外计算温度 tw=0.4t1+0.6t2

式中 t1——10年内最热月平均温度

t2——绝对最高温度

(2)几种主要材料的导热系数

①软木 λ=0.07W/(m·K)

②聚苯乙烯泡沫塑料 λ=0.05W/(m·K)

③聚氨酯发泡塑料 λ=0.03W/(m·K)

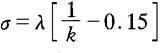
(3)围护结构隔热层厚度计算

屋面计算温度应加10℃,地面计算温度:架空层减去5℃,不架空层减去15℃。

随便看

 

离鸟网收录3541549条中英文词条,其功能与新华字典、现代汉语词典、牛津高阶英汉词典等各类中英文词典类似,基本涵盖了全部常用中英文字词句的读音、释义及用法,是语言学习和写作的有利工具。

 

Copyright © 2004-2024 vtrois.com All Rights Reserved
更新时间:2026/4/21 1:03:27