网站首页  词典首页


请输入您要查询的字词:

 

字词 织物
类别 中英文字词句释义及详细解析
释义

织物


(一)织物分类

1.按构成织物的原料分类

1)纯纺织物:系指经、纬纱都用同一种纤维纺纱和织成的织物。

棉织物:如细布、府绸、卡其、华达呢等。

毛织物:如麦尔登、凡立丁、全毛牙签呢等。

丝织物:各种绸、绫、罗、缎等。

麻织物:如麻布、麻帆布、夏布等。

化纤织物:如涤纶短纤维的纯涤纶织物等。

矿物性纤维织物:如石棉防火织物、玻璃纤维织物等。

2)混纺织物:系指用两种或两种以上不同种类的纤维混纺的经、纬纱线制成的织物。随着化纤工业的发展,天然纤维与化纤混纺的品种繁多,如棉、毛与各种合成纤维混纺的织物;人造纤维与毛、人造纤维与涤纶等混纺的凡立丁、花呢;涤粘、毛粘、粘棉等混纺仿毛织物;此外,用三种纤维混纺的“三合一”等。

3)交织物:系指由不同纤维纺成的经纱和纬纱相互交织而成的织物。如棉经纱、毛纬纱的棉毛交织物;丝棉交织的线绨等。

2.按织物用途分类

(1)生活用织物(指人民生活需要的各种织物)。

服装用织物:如外衣、内衣、衬里衣料用织物。

卫生用织物:如毛巾、浴巾、枕巾、手帕、床单等。

装饰用织物:如窗帘、帷幔、床罩等。

(2)技术用织物:指用于工农业、医疗和军需的各种织物。如传动带、帆布、塑料衬布、滤布、绷带、水龙带、帘子布、绝缘布、降落伞等。

3.按织物组织分类

(1)原组织织物:三原组织织物(平纹、斜纹、缎纹)。

(2)小花纹组织织物:是把原组织加以变化或配合而成,由此又可分为变化组织和联合组织织物。

(3)复杂组织织物:复杂组织系由若干系统的经纱和纬纱构成,这类组织能使织物具有特殊的外观效应和性能。如水龙带、毛巾、灯芯绒、拷花呢、纱罗等。

(4)大提花组织织物:此类织物又称大花纹织物,是综合运用上述三类组织形成大花纹图案的织物。

4.按印染整理加工方式分类

染色布:坯布经过退浆、煮练后再染色加工而成的深色、浅色布。

漂白布:坯布经过退浆、煮练后再进行漂白处理的布。

印花布:坯布经漂染后再经印花加工而成的布。

5.按纱线种类分类

纱织物:经纬纱都用单纱织成的布。如各种平布、纱卡等。

半线织物:线经与纱纬织成的布。如半线卡、半线府绸等。

全线织物:经纬纱都用股线织成的布。如全线卡其等。

6.按纺纱工艺分类

梳棉纱织物:又称普梳织物或非精梳织物,是指经纬纱都用梳棉纱制成的布。

精梳织物:经纬纱都用精梳纱制成的布。

7.按织物幅宽分类

狭幅织物:幅宽在81cm(32in)以下。

中幅织物:幅宽在81~110cm(32~43in)。

阔幅织物:幅宽在127cm以上(50in以上)。

(二)本色棉布

本色棉布由于各类品种的组织结构不同,它们的结构特征和布面风格亦不同。本色棉织物的结构特征、布面风格、编号列于表18-26。

表18-26 本色棉织物结构特征、布面风格

(三)织物组织(织物中经纬纱相互交织的规律,称织物组织)

1.三原组织

1)平纹组织

平纹组织是经纱和纬纱以一上一下的规律交织的织物组织,它是三原组织中最简单的一种。平纹组织由两根经纱和两根纬纱构成一个组织循环,用分式来表示(图中“”范围内为一个组织循环)。平纹组织的织物正反面外观相同,经、纬纱之间交织最频繁、屈曲最多,能使织物挺括、坚牢,因此在织物中应用最广泛。如棉织物中的平布和府绸;毛织物中的凡立丁、派力司、法兰绒等;化纤织物中的人棉平布、涤棉细布,涤棉线绢;丝织物中的塔夫绸;麻织物中的夏布等。

图18-1 平纹组织

平纹组织织物中的经、纬纱采用不同原料、纱号、捻度、捻向、色泽、经纬纱密度和改变每筘穿入经纱根数等,能使织物获得各种不同的外观效应,再经过不同的后整理工艺便形成各种花色品种,如细经粗纬的绨,强捻丝制成的乔其纱,不同捻向纱制成的隐条隐格织物以及采用不同经纱张力相间排列制成的条状泡泡纱等。

以平纹组织为基础、沿经向或纬向或同时沿经、纬向两个方向延长组织点,使组织循环扩大,而演变出的平纹变化组织,如经重平、纬重平和方平组织(如图18-2、18-3)。用这些组织可织制多种织物,如纬重平组织织制的麻纱;用方平组织织制的板司呢等。

图18-2 纬重平

图18-3 方平

2)斜纹组织

相邻经(纬)纱上连续的经(纬)组织点排列成斜线,织物表面呈现连续斜线织纹的织物组织称为斜纹组织。斜纹组织一个组织循环的纱线数至少为3根。换句话说,织制斜纹织物至少需用3页综框。斜纹组织应用较为广泛,如棉、毛织物中的卡其、哔叽、华达呢;丝织物中的美丽绸。

斜纹组织与平纹组织相比具有较大的经(纬)向浮长,因而在相同的纱号和经纬密度下织物结构较为松软,因此,配置较大的经纬密度方能得到结构紧密的织物。斜纹组织中经组织点大于纬组织点称经面斜纹,反之为纬面斜纹,经纬组织点相等的称双面斜纹。一般斜纹组织用分式并附以斜向箭头表示,如下图中的。斜纹组织的斜向主要是依据构成斜线织纹的纱线在织物表面的捻向选择的,当捻向与织纹斜向相反,斜线纹路较清晰,反之斜线纹路模糊,因此,用“Z”捻单纱作经、纬纱并采用经面斜纹组织时,应选择左斜;采用经纱为“S”捻的经面斜纹,则应选择右斜。

图18-4 斜纹组织

在斜纹组织的基础上分别采用添加经、纬组织点,改变织纹斜向、飞数或同时采用两种方法可演变出多种斜纹变化组织。

(1)加强斜纹:在斜纹组织的基础上添加经、纬组织点而成,应用最普遍的有双面加强斜纹。

(2)复合斜纹:一般为组织循环数较大的斜纹组织,织物表面呈显宽、窄、深浅不同的斜纹。

(3)角度斜纹:改变飞数的数值可使织物斜纹线的倾斜角度发生变化,常用的是倾角大于45°的组织,配以较大的经密,使织纹斜线饱满陡直。

(4)山形斜纹:在左右两个方向的斜线排列成山形织纹的组织。

(5)破斜纹:由左右两个方向的斜线按一定要求排列,使织纹斜线突然中断的组织。

此外,还有阴影斜纹、菱形斜纹、曲线斜纹等多种。

3)缎纹组织

缎纹组织是三原组织中最复杂的一种组织,它是相邻两根经纱或纬纱上的单独组织点分布均匀而有规律,彼此相距较远而又不连续的织物组织。缎纹组织中单独组织点由相邻的经纱或纬纱的浮长线所遮盖。织物表面平滑匀整,质地柔软,富有光泽或稍呈纹路。缎纹组织分经面缎纹和纬面缎纹。

缎纹组织可用分式表示,如经面缎纹,纬面缎纹,分子表示一个组织循环的纱线根数,简称“枚数”;分母表示经向或纬向飞数。经向飞数用于经面缎纹,纬向飞数用于纬面缎纹。缎纹一个组织循环纱线数不少于5根,飞数应大于1而小于组织循环纱线数减1,飞数与组织循环数两者应互为质数。常用的缎纹组织循环数为5、8、12、16等,组织循环纱线数越大,织物表面纱线浮长越长,光泽越好,织物越松软,但坚牢度越差。

经面缎纹织物的表面多数由经纱浮长所覆盖,为了突出经纱效应,经向紧度须大于纬向紧度,一般经、纬向紧度之比约为5∶3,如直贡呢、素缎等。纬面缎纹织物的表面多数由纬纱浮长所覆盖,为了突出纬纱效应,纬向紧度须大于经向紧度,一般经、纬向紧度之比约为2∶3,如横贡缎等。缎纹组织的织物用途较广,常用作被面、衣着、鞋面以及装饰布等。

图18-5 经面缎纹

图18-6 纬面缎纹

以缎纹组织为基础可演变出许多缎纹变化组织。如在经或纬组织点四周添加单个或多个组织点而构成加强缎纹组织(图18-7);在一个组织循环内由不同飞数而构成变则缎纹组织。如六枚变则缎纹组织(图18-8),其经向飞数为2、3、4、4、3、2;延长经向或纬向组织点而构成重缎纹组织,常在手帕织造中采用。缎纹组织与其他组织结合可构成缎条府绸、缎条手帕等织物。

图18-7 8枚加强缎纹组织

图18-8 6枚变则缎纹

2.本色棉织物中常用的布边组织

布边组织主要根据织物的地组织、经纱排列紧度及经纱缩率而定。制织布边时,尽可能利用原有的综框,只有在制织斜纹及五页缎纹时,才用加边装置。

在制织粗、中、细平纹织物时,为了减少边纱的断头,边组织一般采用纬重平组织;制织府绸时,因其纬向缩率小,一般边组织仍用平纹。

在制织斜纹时,边组织一般有三种:

(1)经纱排列紧度不大的哗叽,它的边组织和地组织相同(图18-9)。

图18-9 斜纹的布边(地、边组织相同)

(2)经纱排列紧度较大的华达呢及双面卡其,则通常使用图18-10的反斜纹布边或图18-11的罗纹(方平组织)布边。图中的箭头表示梭子引纬方向。

图18-10 斜纹的布边(反斜纹布边)

图18-11 斜纹的布边(罗纹布边)

(3)单面卡其的正反面不是同组织,若布边是反斜纹组织,则在印染加工时有可能产生卷边(布的两边向反面卷),故采用方平组织的罗纹边。若加工时还出现卷边现象,则可增加筘齿中边经纱的一筘穿入数,如把边经纱自4根/筘改穿6根/筘。

五页综的直贡,为了布边整齐并考虑到边经纱和地经纱的缩率相近,故布边可配的方平组织或双梭变化纬重平组织(图18-12)。横贡缎因布身单薄,若仅配方平组织,印染加工时还要卷边,故目前采用联合双梭变化纬重平组织,例如,J14.5×J14.5,370×551横贡(纬面缎纹),边组织采用双梭变化纬重平联合组织,36根边经纱一筘中的穿入数是6、5、4、3、3、3、3、3、3、3顺序是布边至布身(地组织),见图18-13。

图18-12 双梭变化纬重平组织

图18-13 双梭变化纬重平联合的边组织

制织经面缎纹时,方平组织的边组织和引纬方向如图18-14(直贡为正织,横贡为反织)。

图18-14 经面缎纹的边组织、穿综图及引纬方向制织纬面缎纹(反织时),三经二纬变化纬重平组织的边组织和引纬方向,如图18-15(直贡为正织,横贡为反织).

图18-15 纬面缎纹(反织)的边组织、穿综图及引纬方向

(四)织物上机图

织物上机图是织物上机织制工艺条件的图解,简称上机图。由组织图、穿筘图、穿综图和纹板图组成,是织造前穿筘、穿综和钉植纹钉的依据。上机图的排列习惯上有两种形式(如图18-16).

图18-16 织物上机图的组成及其排列

1.组织图

织物中经纬纱相互交织规律的图解。

2.穿综图

表示织造时各根经纱穿入各列综丝顺序的图解。穿综图的横行表示综框排列顺序,纵列表示与组织图相对应的经纱。沉浮规律相同的经纱穿入同一页综内,沉浮规律不同的经纱分别穿在不同综框的综内。图中用“”(或■)等符号或数字填绘,以表示与组织图相对应的经纱的穿综顺序。穿综方法根据织物组织和操作的方便确定。常用的穿综方法有三种:

(1)顺序法:把组织图中的各根经纱逐一顺次自左下方向右上方穿入相应综框内(如图18-17),它适用于经纱密度较小和组织循环经纱数较少的织物。

图18-17 顺穿法

(2)飞穿法:组织图中的各根经纱间隔穿入相应的综内(如图18-18)。它适用于组织循环经纱数较少,但密度较大的织物。

图18-18 飞穿法

(3)照图穿法:对组织图中沉浮规律相同的经纱分别穿在同一页综内,从而减少使用综框数(如图18-19)。它适用于小花纹织物。

图18-19 照图穿法

3.穿筘图

织造时各根经纱穿入筘齿的图解。常用两行横格表示(图18-20),习惯上也用(或■)等符号填绘,在同一横行连续填绘的小格数表示穿入同一筘齿中的经纱根数。穿入相邻筘齿中的经纱填绘于另一横行上。每筘齿内穿入经纱根数根据织物的经纱密度、纱号、筘号、组物组织和用途而定。一般织物每筘齿穿2~4根经纱。本色棉布每筘经纱穿入数可参考表18-27。

图18-20 穿筘图

表18-27 本色棉布每筘经纱穿入数参考

4.纹板图

表示控制综框运动规律的图解。用(或■)等符号表示钉植纹钉的位置。当纹板图在组织图右侧时自左至右纵列表示综框页数,横行表示对应于组织图的纬纱根数(图18-21a)。穿综采用顺穿法时纹板图与组织图相同。在穿综图右侧的纹板图,横行表示对应于穿综图的综框数,纵列自左至右表示纬纱数(图18-21b)。

图18-21 纹板图

(五)织物的密度

织物的密度是指单位长度中纱线排列的根数。它有经纱密度和纬纱密度之分。常用10cm(或in)中的根数表示。改变经、纬纱密度对织物的外观、手感、重量、强力、伸长等机械物理性能、以及织机的生产率,对织物的成本都有直接影响。随着经、纬密度的增加,那么织造生产的难度亦增大,织机生产效率有所降低,织造对原纱和经纱上浆质量的要求亦较高。纬密增加,织造单位时间内的理论产量随之会减少。

(六)织物的紧度

织物中经、纬纱密度并不能全面反映织物的疏密程度,密度相同的两种织物,纱线粗的织物比较紧密。因此,比较织物的紧密程度必须同时顾及经、纬纱线的粗细和密度。织物的紧度就是衡量织物紧密程度的指标,包括经向紧度(Ej),纬向紧度(Ew)和总紧度(E)。

织物的经、纬向紧度是经、纬纱直经与两根经、纬纱间的平均中心距之比的百分率,总紧度是织物中经纬纱所覆盖的面积与织物总面积之比的百分率。计算公式:

E=Nj+Ew-Ej×Ew÷100

式中 Ni·Nw——经、纬纱密度(根/10厘米);

texj·texw——经、纬纱号数。

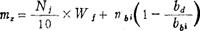
(七)织物的总经根数(mz)

织制全幅织物所需要的总经纱根数,它由布身经纱根数和布边经纱根数组成。计算公式:

式中 Wf——织物的标准幅宽(cm);

mbi——边纱根数;

bd——地经纱每筘穿入数;

bb——边经纱每筘穿入数。

边经纱根数可参考表18-28。

表18-28 边经纱根数参考表

(八)织物的经(纬)纱织缩率

式中 αj,αw——经、纬纱缩率(%);

Lm——浆纱墨印长度(m);

Lb——两墨印之间的经纱织成的坯布长度(m);

Wk——经纱穿筘幅宽(cm);

Wf——织物标准幅宽(cm)。

在制织新品种时,αj和αw可参考类似产品的数值,或采取表18-29的数值,待试织后再修正数据。

表18-29 织物αj,aw参考表

影响各类织物经纬纱缩率大小的因素。

(1)经纱号数比纬纱号数大时,经纱缩率小,纬纱缩率大;反之αj大,αw小。

(2)经纱密度较大的织物,它的aj大,αw小;反之aj小于αw

(3)织机上经纱上机张力增大,则αj减小,反之则大。

(4)经纱上浆率增高则aj减小,反之则大。

(5)经纱拈系数增加,则aj减小,反之则增大。

(九)钢筘的筘号

1.公制筘号(Nk)以10cm内的筘片间隙数来表示,取整数。计算公式

式中 Nj——经密(根/10厘米);

bd——地经纱一筘穿入数(见表18-27);

αw——纬纱缩率(%)。

2.英制筘号(NE)是以2in内的筘片间隙数来表示。公、英制筘号换算关系为:

Nk=0.508NE

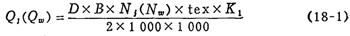
(十)织物的断裂强度

棉织物的断裂强度以50×200mm布条断裂强度(kg或N)表示。

1.棉布的断裂强度

2.精梳涤棉混纺本色布断裂强度

式中 Qj(Qw)——棉布(涤/棉)经(纬)向断裂强度(kg或N);

Nj(Nw)——经(纬)纱密度(根/10厘米);

tex——经(纬)纱号数;

D——经(纬)纱品质指标;

P——单根纱线一等品断裂强度(cN/tex或gf/tex);

B——由棉纱线品质指标换算单纱断裂强度的系数(表18-30);

表18-30 品质指标与单纱断裂强度换算系数

K1,K2——棉纱线、涤/棉纱线在织物中的强力利用系数(表18-31,表18-32)。

表18-31 棉纱线在织物中强力利用系数

表18-32 涤棉纱线在织物中强力利用系数

查对K1值的方法:若织物的紧度在表值范围内,则K1值按比例增减;紧度小于或大于表值范围,则K1按最小或最大取值。

K2值查对方法:织物紧度在表值范围内时,K2值按比例增减之;织物紧度小于表值范围时,则按比例递减;若织物紧度大于表值所列范围时,则选用表中最大K2值。

(十一)织物的量度

1.匹长

以m(或yd)为单位,根据织物成包长度系列和成包重量规定而定。中等厚度的织物匹长,多数采用30或40m为1匹,并采用联匹形式,一般厚织物为2~3联匹;中等厚织物为3~4联匹,薄型织物采用4~6联匹。出口产品可根据客户要货订单要求。

2.幅宽

是指坯布或成品经过成包自然伸缩后的实际幅宽,常用cm(或in)为单位。织物的幅宽是外观质量考核项目之一,它根据织物用途和生产设备情况而确定。

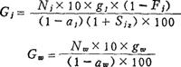
3.1平方米棉布无浆干燥重量

G=Gj+Gw

式中 G——1m2棉布无浆干燥重量(g);

Gj,Gw——1m2棉布的经、纬纱干燥重量(g);

Nj,Nw——经、纬纱密度(根/10厘米);

gj,gw——经、纬纱纺出标准干重(g/100m);

αj,αw——经、纬纱缩率;

Fj——经纱总飞花率;

Sjz——经纱总伸长率。

其中纯棉、涤棉的经纱总伸长率为:

纯棉:上浆单纱按1.2%计算(其中络筒、整经以0.5%计算,浆纱以0.7%计算);上水股线10×2号以上(60s/2以下)按0.3%,10×2号及以下(60s/2以上)按0.7%计算。

涤棉:单纱为1%,股线为0。

经纱总飞花率(Fj):

纯棉:粗号织物按1.2%,中号平纹织物按0.6%,中号斜纹、缎纹织物按0.9%,细号织物按0.8%,线织物按0.6%计算。

涤棉:粗号织物为0.6%,中细号织物(包括股线织物)按0.3%计算。

随便看

 

离鸟网收录3541549条中英文词条,其功能与新华字典、现代汉语词典、牛津高阶英汉词典等各类中英文词典类似,基本涵盖了全部常用中英文字词句的读音、释义及用法,是语言学习和写作的有利工具。

 

Copyright © 2004-2024 vtrois.com All Rights Reserved
更新时间:2026/4/21 15:47:44