网站首页  词典首页


请输入您要查询的字词:

 

字词 组合尺寸的标准化
类别 中英文字词句释义及详细解析
释义

组合尺寸的标准化


由于组合尺寸是若干标准单元拼合起来的尺寸,不同的情况有不同的组合方式。对组合尺寸的标准化,跟优先数系一样,除建立标准数系外,还要考虑产品置换条件、网格化布局设计以及物品装运组合等用格距尺寸或容器尺寸的基准值,并同样也应是整数数列,以保证一种产品的组合尺寸可对应于几种格距或容器尺寸的基准值;又对同一格距或容器尺寸基准值的乘数同样也应是数列,从而可得不同的组合尺寸,以适应设计时有最佳的选择。

实践和理论证明,组合尺寸的标准化主要取决于其尺寸的拼加性。虽然优先数系不具备有尺寸拼加性,但从尺寸标准化,组合尺寸用数系仍然要建立在优先数系的基础上。

1.组合尺寸用数系的形成

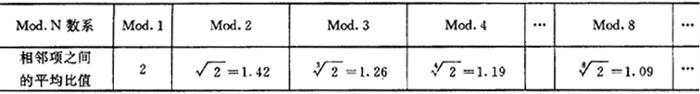
由等差级数构成的数系的特征可知,有些是具备有尺寸拼加性,特别是用倍增数列形成的等差数列对满足尺寸拼加性最为理想,以此为基础,ISO/IEC联合工作组起草的《模数制和尺寸协调指南》草案中,用于组合尺寸的数系是具有一个几何框架,其中插入算术序列的几何-算术混合数系。数系了代号为Mod.N。它是由N到(2N-1)的N个整数序列倍增重复而得,可表达为

表达式中横行成等差数列,纵行成倍增数列。数系中相邻项的平均比值为

表4.4.3-1给出N等于1、2、3和4时数系的各项值,表4.4.3-2则给出了这些数系相邻项间的平均比值(Q)的对比。

表4.4.3-1 适用于组合尺寸的数系(或模数数系)的各项值

表4.4.3-2 适用于组合尺寸的数系(或模数数系)

由表4.4.3-2可知,这些数系相邻项间的平均比值基本上和优先数系中基本系列R10、R20、R40的公比相似。因而可结合产品的具体要求,以它们为基础来建立组合尺寸用数系。

由于电工领域组合尺寸用系列的平均比值大多接近1.25,且还十分接近R10系列的公比。因而,就以Mod.3数系为基础建立组合尺寸用数系。实际应用中,使用的是以尺寸10mm乘Mod.3数系中各项构成的系列,如表4.4.3-3。

表4.4.3-3 按Mod.3数系建立的组合尺寸用数系

由表4.4.3-2可知,阶梯等差序列和倍增框架的结合,使用Mod.3形成的组合尺寸用数系,将最理想地满足尺寸的拼加性。

2.格距尺寸和容器尺寸用系列

为适应产品的不同组合方式,格距尺寸和容器尺寸的基准值,同样也应形成系列,而且系列中每一基准尺寸都必须和产品的尺寸数系相协调。因而,格距尺寸和容器尺寸用系列仍然是建立在由Mod.3形成的组合尺寸数系基础上。

在考虑格距尺寸基准值用系列时,必须含有电工领域常用的2.5和5mm。按此,在由Mod.3形成的组合尺寸系列中,每隔三项取值派生出来的格距尺寸基准值的系列为:

2.5,5,10,20,40,80,160,320

对于容器尺寸用基准值系列,必须考虑箱、柜品种的最优化,并取决于制造箱柜批量生产效果的大小,一般舍弃原Mod.3数系中一部分值,采用如下复合阶梯等差数列,即:

3.乘数数列

乘数数列的形成取决于是以内件还是以外件为基准的组合尺寸。

(1)以内件为基准时的乘数数列

当以内件为基准时的组合尺寸,是按格距尺寸的基准值。它是组合尺寸的最小基数,取决于内件拼装的最小尺寸。由于单一项差的数列如1,2,3,…K去乘网格尺寸,当K值较大时,最后几项将分档过密,实际应用并无必要。因而乘数数列同样按用于容器尺寸基准值的阶梯等差数列,以简化组件和成套装置的尺寸规格。

(2)以外件为基准时的乘数数列

当以外件为基准的组合尺寸则按容器尺寸的基准值,其值取决于外件的最大包容尺寸。在容器尺寸已经给定的情况下,内件尺寸取容器尺寸的整数分割值,以充分利用包容面积和空间。首先,必须使容器能装下一个单一的大产品;其次产品系列起码包括容器的等比率;再次是比率;它将补足为;另外也是必须的,它将补足为1。这样,适宜于容器尺寸的乘数数列取复合调和数列,即:

随便看

 

离鸟网收录3541549条中英文词条,其功能与新华字典、现代汉语词典、牛津高阶英汉词典等各类中英文词典类似,基本涵盖了全部常用中英文字词句的读音、释义及用法,是语言学习和写作的有利工具。

 

Copyright © 2004-2024 vtrois.com All Rights Reserved
更新时间:2026/4/21 15:37:13