网站首页  词典首页


请输入您要查询的字词:

 

字词 线性回归分析
类别 中英文字词句释义及详细解析
释义

线性回归分析


第一节介绍了依赖于一个数量因子x的总体族{Yx,x∈T}的平均数EYx的线性模拟:

x=β0+βx (48.4。1)i

x-y平面上的直线(48.4.1)1式称为总体族的一元回归直线。必须注意到(48。4.1)1式与(48.3.1)1式在概念上的差别,它们分别称为“因子回归”与“相关回归”。

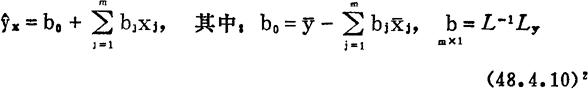
一元(因子)回归的调查和实验方案是{N;xk,k=1—N;n},表示数量因子x取N个值,这N个值是xk,k=1—N(不妨设为从小到大的次序排列),对应于每一个xk的总体Yk的样本观测值是n个同质数据yki,i=1—n。本章只研究n=1的情形(1),借用二元总体的样本观测值的格式:=()。

β0、β和一元回归直线(48.4.1)1式的最小二乘估计跟(48。3.1)2式在形式上一样:

x=b0+bx,其中:b0=-X,b=(48.4.1)2

直线(48。4.1)2式通过点(),并且一般地只适用于实验方案中数量因子的取值范围x∈〔x1,xN〕。

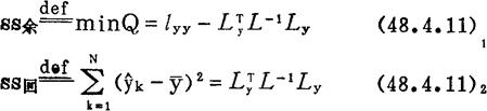
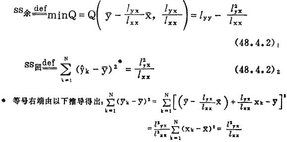
定义下列剩余平方和与回归平方和:

由以上二式可知:

产生差异平方和lyy的原因,除了随机因素而外,主要是由于N个总体Yk(n=1的样本)的观测值yk,k=1—N分别在因子x的N个取值xk,k=1—N条件下产生。lyy是N个非同质数据yk,k=1—N与其平均的差异平方和,它在被N个yk的最小二乘拟合值k分别取代以后减小(2)到SS余。由于分别k=1—N,观测值yk与其最小二乘拟合值k=b0+bxk都是由xk产生的,从而在构成SS余的差异ykk中抵销了混杂在yk中的因子x的N个取值的影响(注意,还保留有只在n>1情形才能进行分析的模式误差,即失拟)。lyy减小到SS余的减小部分SS回表示一元回归直线(48.4.1)2式对于差异平方和的减小所作出的“贡献”。由此,对于每一x∈〔x1,xN〕,分别用x作

x的估计值,优于对所有x∈〔x1,xN〕一律用常数作为的估计值。

需要定义下列方差以及F:

如果F>Fα(1,N-2),则推断β0,并称Yx与数量因子x线性相关显着。仅对这样的EYx用(48.4.1)1x作为它的线性模拟才是有意义的,并且可以认为EYx=x。只在这种情形才有必要求出(48.4.1)2式作为线性模拟(48.4.1)1式的最小二乘估计。Fα(f1,f2)——f1与f2分别称为分子自由度和分母自由度——可以查“F检验的临界值(Fα)表”得到。回归分析的步骤如表48—2所示。

表48—2

如果使用SHARP-5002计算器,则:

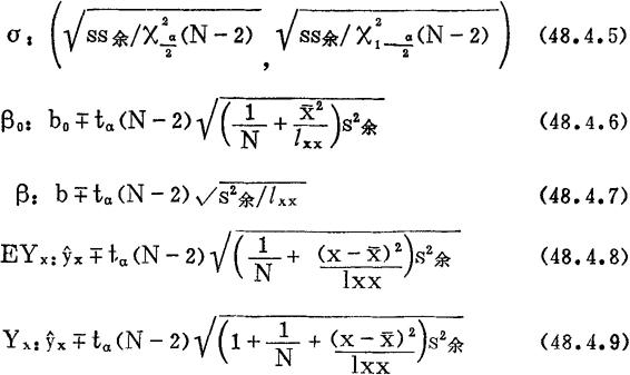
上述的线性回归分析以总体方差DYx≡σ2,即不随x∈T改变为前提。下面写出总体标准差σ与β0、β、EYx的1-α置信区间以及总体Yx的1-α取值区间:

X(N-2)和(N-2)可以查“X2分布的上侧分位数()表”得到;tα(N-2)可以查“t分布的双侧分位数(tα)表”得到,N-2是自由度。(18.|.8)式和(48.4.9)式在线性模拟的最小二乘估计x=b0+bx两侧随x∈〔x1,xN〕分别形成EYx的1-α置信区域和总体族Yx的1-α取值区域,它们在距离X越远的x处(即|x-X|越大)开口越大。

对于依赖于m个数量因子的总体族{=(x1,x2…,xm)T∈T},m个数量因子的取值有如下两种情况:(1)取值之间有依赖关系,或者人们不能控制只能记录。这种情况类似于m+1元总体(m个随机自变量,一个随机因变量);(2)取值之间没有关系,并且可以由人们对其进行搭配(全面搭配或者正交搭配,后一种称为正交回归设计)。本章只研究第(1)种情况。

把样本观测值与数量因子的取值配合,借用m+1元总体的样本观测值的格式。

总体族的平均数EYx的线性模拟:

用下列最小二乘法求β0和βj,j=1—m的估计值:

=0推出,将其代入=0,j=1—m,得到m元线性回归的正规方程组:,其中:

假设系数阵的行列式不等于0,解得

线性模拟(48.4.10)1式的最小二乘估计(3)是:

定义下列剩余平方和与回归平方和:

由以上二式可知;

按(48.4.10)2式求得线性模拟(48.4.10)1式的最小二乘估计的前提是下列的F>Fα(m,N—m—1):

简单介绍正交回归设计:采用正交表使可以人为控制的m个数量因子的取值两两全面搭配,从而正规方程的系数阵成为对角阵,回归平方和也成为简单的∑求和,在形式上是一元线性的b=与Ss回==blxx随因子个数增多的简单增加:

(编者:刘长安 审者:孙尽善)

随便看

 

离鸟网收录3541549条中英文词条,其功能与新华字典、现代汉语词典、牛津高阶英汉词典等各类中英文词典类似,基本涵盖了全部常用中英文字词句的读音、释义及用法,是语言学习和写作的有利工具。

 

Copyright © 2004-2024 vtrois.com All Rights Reserved
更新时间:2026/4/18 13:00:59