网站首页  词典首页


请输入您要查询的字词:

 

字词 纯水泥浆计算
类别 中英文字词句释义及详细解析
释义

纯水泥浆计算


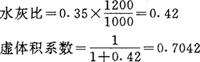
纯水泥浆,其计算公式为:用水量按水泥的35%计算,则

收缩后的体积:

说明:式中水泥容重1200千克/米3,密度3.10克/厘米3

水泥净体积=0.7042×0.42=0.2958m3

合计 0.2725+0.2958=0.5683m3

水泥用量=1.239×1200=1487kg

水用量=1.239×0.42=0.52m3

随便看

 

离鸟网收录3541549条中英文词条,其功能与新华字典、现代汉语词典、牛津高阶英汉词典等各类中英文词典类似,基本涵盖了全部常用中英文字词句的读音、释义及用法,是语言学习和写作的有利工具。

 

Copyright © 2004-2024 vtrois.com All Rights Reserved
更新时间:2026/4/17 22:46:44