网站首页  词典首页


请输入您要查询的字词:

 

字词 粗大误差
类别 中英文字词句释义及详细解析
释义

粗大误差


粗大误差明显歪曲了测量结果。含粗差的测量值是异常值,应予舍去。

工作仔细,加强责任心,可以防止粗大误差。

测量进行中若发现有的条件不符合要求,可以当场抛掉当时所测数据,即将该值在记录中划去,但须注明原因。不说明原因而随意抛掉一个数据是不正确的。

测量进行后,要判断一个数是否含有粗大误差要特别慎重,此时应根据充分的测量知识和下面的粗大误差准则,作为剔除的根据。

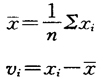
设对某量作等精度独立测量,得

x1,x2,…,xn

算出平均值及残差

按贝塞尔法算单次测量标准差

此时剔除粗大误差的准则有:

1.来伊达准则

如果某测量值xi

|vi|>3σ (2.5-1)

则认为xi含粗大误差而抛去。

〔例2.5-1〕 测某一温度15次,得xi如表2.5-1。

表2.5-1 测温数据

120.404℃

120.404℃

而|v8|=0.104℃>3σ=0.099℃

故将x8舍去。舍去后再算平均值

由3σc判断,知新列中已无粗大误差。

来伊达准则宜n>10。

2.格拉布斯(Grubbs)准则

若测量值的最大值或最小值有满足

|vi|>λn(α)·σ (2.5-2)

则认为含粗大误差而剔去。

系数λn(α)与测量次数n及显着信水平α有关,其值见表2.5-2。

表2.5-2 拉布斯系数λn(α)

【参考文献】:

[1]王立吉,计量学基础,中国计量出版社,1988。

[2]BIPM、IEC、IFCC,IUPAC,IUPAP,OIML,Guide to the Expression of Uncertainty in Measurement, ISO,1993.

[3]刘智敏,不确定度原理,中国计量出版社,1993。

[4]刘智敏,误差分布论,原子能出版社,1988。

[5]刘智敏,误差与数据处理,原子能出版社,1983。

[6]Liu Zhimin(刘智敏),Measurement Uncertainty and Its Correlation Combination,Proceeding of ISEM, 1993.

[7]国家计量总局量值传递处编,计量技术考核纲要,计量出版社,1981。

[8]国家技术监督局审定,刘智敏等编审,全国计量检定人员考核统一试题集第六分册三,误差及数据处理,陕西科学技术出版社,1990。

随便看

 

离鸟网收录3541549条中英文词条,其功能与新华字典、现代汉语词典、牛津高阶英汉词典等各类中英文词典类似,基本涵盖了全部常用中英文字词句的读音、释义及用法,是语言学习和写作的有利工具。

 

Copyright © 2004-2024 vtrois.com All Rights Reserved
更新时间:2026/4/20 7:01:54