网站首页  词典首页


请输入您要查询的字词:

 

字词 管路系统通径的确定
类别 中英文字词句释义及详细解析
释义

管路系统通径的确定


为设计、加工和使用方便,管路系统中每一个支路,应尽量配套选用同一公称通径规格尺寸的管子、阀门及管件。公称通径的尺寸规格,主要根据管路内最适宜的流速来确定。

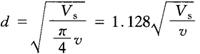
管子通径一般依下式计算后确定:

式中 d——管子计算直径(内径),m

Vs——管路内流体容积流量,m3/s

v——管路内流体选用流速,m/s

饮产生产中管路内常用流速v,可依表4-14-6确定,也可按表6-4-40确定。

表4-14-6 饮料生产管路内流体常用流速范围

上述所求出的d值,需圆整为最接近的管路通径数值。例如求出管径为47mm,则需选用公称通径50mm(2in)的管子。当选用不锈钢管时,为能在管端车出管螺纹,以便和阀门配套,就要选用公称通径(外径)为60mm的管子。公称通径及管路系统常用元件的公称通径见表4-14-7。

表4-14-7 公称通径及管路系统常用元件的公称通径

随便看

 

离鸟网收录3541549条中英文词条,其功能与新华字典、现代汉语词典、牛津高阶英汉词典等各类中英文词典类似,基本涵盖了全部常用中英文字词句的读音、释义及用法,是语言学习和写作的有利工具。

 

Copyright © 2004-2024 vtrois.com All Rights Reserved
更新时间:2026/4/20 12:55:49