网站首页  词典首页


请输入您要查询的字词:

 

字词 管导中的传播
类别 中英文字词句释义及详细解析
释义

管导中的传播


现在我们来讨论平面波在管导中的传播。假定管导中仍然有流体媒质,当声波的波长小于管导直径,则声波的传播就像在无限媒质内一样。但若波长大于直径,则直径的改变就像改变媒质的特性阻抗,将影响声波的传播。例如:管子的截面积有突变,就会有部分入射声波反射回去。同时,在截面积变化外,声波就向小管集中或向大管扩展,不再是平面波阵面。而离开该截面积适当距离以后,又大致回复到平面波。

11.2.9.1 截面积变化一次的管导中传播

讨论如图11.2-8所示的连接管导,假定声波由横截面积为S1的第一管导,入射在横截面积S2的第二管导头上。用前面曾用的足符表示这里的声波入射声压为:

图11.2-8 平面波在两管导的交界面上的透射和反射

Pi=Piej(ωt-kx) (11.2-55)

反射波及透射波的声压分别为:

Pr=Prej(ωt+kx) (11.2-56)

Pt=Ptej(ωt-kx) (11.2-57)

注意到管中各点的媒质特性阻抗都为相等,故在分界面两侧的波常数k是一样的。

假定分界面的坐标为x=0,则声压的连续条件是:

Pi+Pr=Pt (11.2-58)

由于在交界面处没有流体的囤积,故第二个边界条件就由体积流量(或体积速度)的连续性代替质点速度的连续性。它在第一管中的任意点为S1(Ui+Ur);第二管中为S2Ut。以Ui代替Pi/ρc,Ur代替Pr/ρc及Ut代替Pt/ρc,并用振幅表示。于是在x=0处,体积速度的连续条件为:

S1(Pi-Pr)=S2Pt (11.2-59)

联立(11.2-58)及(11.2-59)式消去Pt后得:

式中ξ12=S2/S1,为两管导截面积之比值。

注意,若ξ12<1,则反射波没有位相的变比,与媒质改变的入射情况对照,大管到小管的传播效果,同对较稠密媒质的透射类似。同样的,小管到大管的传播,同从较稠密到较稀疏媒质的透射类似。

反射功率对入射功率的比值定义为功率反射率Wr

若以r12代替ξ12,则这表示式的右边与媒质不同的界面反射系数与(11.2-18)式一样。

透射波对入射波的复数振幅为:

故透射对入射的声强比为:

若S1>S2,则透射声强大于入射声强,这是由于进入比较小的截面时,声波的压缩引起单位面积功率的增加。故功率透射率Wt为:

它不会超过1。并且与(11.2-20)式的形式相同。

必须指出。当S1或S2大于波长时,这些关系就不再适用,因为这时声波在管导中的传播性质不再受管子约束,就如在无边界的媒质中。

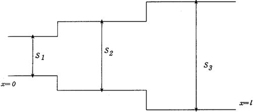
11.2.9.2 两个截面积的变化

图11.2-9中,长为l的管导连接在两个管导之间,解决这一问题的数学技巧可类似于在三种媒质中的传播,仿照(11.2-51)式,功率透射率为:

图11.2-9 平面波在三管导中的传播

式中ξ12=S2/S1,ξ13=S3/S1及ξ23=S3/S2。同样的,第二管导的透射波与第一管导末端的入射波之间存在位相差:

上两式中有许多的实际应用。

例如:在两等相管导之间连接一段比较粗或比较细的管子,这就可以成为声学滤波器,假定ξ13=1,ξ12=1/ξ23

故(11.2-64)式就变为:

显然,在kl=nπ时,功率透射率Wt为最大值1。在kl=(2n-1)π/2时,Wt为最小值4ξ122/(ξ12+1)2。这种滤波原理已成为现代汽车用消声器及无声手枪的消声基础。图11.2-10即表示这种滤波效应的曲线,它代表在半径为5厘米的管导中,接以长10厘米,半径为2.5厘米的管子的滤波器。曲线的数据是根据(11.2-66)式算出。并可与实验数值基本符合。以上公式的限制是声学滤波器的设计所必须遵守的。交接管的直径变化大,或者声波波长小于管子的直径都不能适用。同样,很细的管子由于阻尼力而引起的衰减很大,也不能适用。由(11.2-64)式可以看出,当交接管的截面积S2=(S1S3)1/2时,就得到由管S1到管S3的100%的透射,但这只有满足kl=(2n-1)π/2的频率才有效,故这简单的式子是选择连接管的限度。采用变化比较平滑缓慢的连接管,会在比较宽的频率范围内,都能得到接近100%的透射。

图11.2-10 简单的声学滤波器

【参考文献】:

[1]IEC—327,Precision method for pressure calibration or one—inch standard condenser microphones by the reciprocity technique. 1971.

[2]1EC—486,Precision method for free—field calibration of one inch standard condenser microphones by reciprocity technique, 1974.

[3]IEC—150.Testing and calibration of ultrasonic therapeutic equipment, 1963.

[4]GB 3223-82,水声换能器的自由场互易校准

[5]GB 3785-83,声级计的电,声性能及测量方法

[6]GB 7341-87,听力计

[7]GB 7614-87,校准测听耳机用宽频带型仿真耳

[8]GB 7342-87,测听耳机校准用IEC临时参考耦合腔

[9]OIML R102,声校准器

[10]JJG 188-90,声级计

[11]JJG 698-90,积分声级计

[12]标准电容传声器有关国家标准及检定规程

[13]JJG 388-85,听力计

随便看

 

离鸟网收录3541549条中英文词条,其功能与新华字典、现代汉语词典、牛津高阶英汉词典等各类中英文词典类似,基本涵盖了全部常用中英文字词句的读音、释义及用法,是语言学习和写作的有利工具。

 

Copyright © 2004-2024 vtrois.com All Rights Reserved
更新时间:2026/4/20 3:46:37