网站首页  词典首页


请输入您要查询的字词:

 

字词 竖井导入高程
类别 中英文字词句释义及详细解析
释义

竖井导入高程


通过洞口或横洞传递高程时,可由洞口外已知高程点,用水准测量的方法进行传递与引测。当地上与地下用斜井联系时,按照斜井的坡度和长度的大小,可采用水准测量或三角高程测量的方法进行传递高程。在传递高程之前,必须对地面上起始水准点的高程进行检核。

1.水准测量方法

在传递高程时,应该在竖井内悬挂长钢尺或钢丝(用钢丝时井上需有比长器)与水准仪配合进行测量,如图12-13所示。

图12-13 竖井高程传递(一)

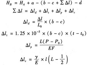
首先将经检定的长钢尺悬挂在竖井内,钢尺零端朝下,下端挂重锤,并置于油桶里,使之稳定。在井上、井下各安置一台水准仪,精平后同时读取钢尺上读数b、c,然后再读取井上、井下水准尺读数a、d,测量时用温度计量井上和井下的温度。由此可求取井下水准点B的高程HB为:

式中 HA——地面近井水准点的已知高程;

△ld——尺长改正数;

△lt——温度改正数;

△lp——拉力改正数;

△lc——重力改正数;

△l——钢尺经检定后的一整尺的尺长改正数;

L0——钢尺名义长度;

t——井上、井下温度平均值,t0为检定时温度(一般为20℃);

γ——钢的单位体积重量,即7.8g/cm3

E——钢的弹性系数,等于2×106kg/cm2

F——钢尺的横断面积;

l——l=(b-c)。

注意:如果悬挂是钢丝,则(b-c)值应在地面上设置的比长器上求取;同时,地下洞内一般宜埋设2~3个水准点,并应埋在便于保存、不受干扰的位置;地面上应通过2~3个水准点将高程传递到地下洞内,传递时应用不同仪器高,求得地下洞内同一水准点高程互差不超过5mm。

2.光电测距仪与水准仪联合测量法

当竖井较深或其他原因不便悬挂钢尺(或钢丝),可用光电测距仪代替钢尺的办法,既方便又准确地将地面高程传递到井下洞内。当竖井深度超过50m以上时,尤其显示出此方法的优越性。

如图12-14所示,在地上井架内架中心上安置精密光电测距仪,装配一托架,使仪器照准头直接瞄准井底的棱镜,测出井深D,然后在井上、井下分别同使用1台水准仪,测定井上水准点A与测距仪照准头中心的高差(a-b),以及井下水准点B于棱镜面中心的高差(c-d)。由此可得井下水准点B的高程HB

HB=HA+a-b-D+c-d

式中 HA——地面井上水准点已知高程;

a、b——井上水准仪瞄准水准尺上的读数;

c、d——井上水准仪瞄准水准尺上的读数;

D——井深(由光电测距仪直接测得)。

注意:水准仪读取b、c读数时,由于b、c值很小,也可用钢卷尺竖立代替水准尺。本法也可以用激光干涉仪(采用衍射光栅测量)来确定地上至地下垂距D。这些都可以作为高精度传递高程的有效手段。

图12-14 竖井高程传递(二)

随便看

 

离鸟网收录3541549条中英文词条,其功能与新华字典、现代汉语词典、牛津高阶英汉词典等各类中英文词典类似,基本涵盖了全部常用中英文字词句的读音、释义及用法,是语言学习和写作的有利工具。

 

Copyright © 2004-2024 vtrois.com All Rights Reserved
更新时间:2026/4/21 11:58:23