网站首页  词典首页


请输入您要查询的字词:

 

字词 空间直角坐标系
类别 中英文字词句释义及详细解析
释义

空间直角坐标系


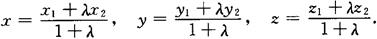
两点间的距离公式 设两点M1(x1,y1,z1),M2(x2,y2,z2),则M1与M2之间的距离d为

定点分点公式 设两点(见图8.1),

则分点M(x,y,z)为

图8.1

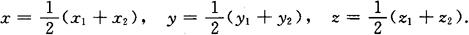
中点公式

随便看

 

离鸟网收录3541549条中英文词条,其功能与新华字典、现代汉语词典、牛津高阶英汉词典等各类中英文词典类似,基本涵盖了全部常用中英文字词句的读音、释义及用法,是语言学习和写作的有利工具。

 

Copyright © 2004-2024 vtrois.com All Rights Reserved
更新时间:2026/4/19 10:58:11