网站首页  词典首页


请输入您要查询的字词:

 

字词 稳定剂
类别 中英文字词句释义及详细解析
释义

稳定剂


(一)三盐基硫酸铅测定

(1)色泽测定

取试样和标准纯样品各3g左右,分别均匀撒放在白纸上,在不同的位置观察比较其白度色泽,试样不得深于标准样品。

(2)氧化铅含量测定

①试剂及溶液

醋酸铵30%溶液,95%乙醇。

0.1%PAN乙醇指示剂(1):0.1gPAN指示剂以95%乙醇溶解并稀释至100ml。

Cu-PAN溶液,将6.725gCuCl2以水溶解并稀释至1000ml配成0.05NCuCl2溶液。取此液30~40ml,加入pH5.7的NaAc-HAc缓冲溶液至pH=5~6,加入0.1%PAN乙醇指示剂数滴加热至60℃左右,以EDTA二钠(2)滴定至绿色,使用时取5ml加于试液中,再加入数滴PAN指示剂。

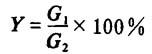
②测定步骤

称取样品0.3g(精确至0.0002g),置入300ml三角烧瓶中,加30%醋酸铵20ml,95%乙醇20ml加热溶解,趁热以0.03MEDTA标准溶液(3)滴定至近终点时,加Cu-PAN溶液5ml,0.1%PAN指示液5滴,继续以EDTA标准溶液滴定至溶液呈黄绿色,终止滴定。

③计算公式:

式中 Y——氧化铅的百分含量

C——EDTA摩尔浓度

V——EDTA消耗体积

G——样品重量

0.2231——每毫摩尔相当于氧化铅之克数

(3)三氧化硫含量的测定

①试剂、溶液

氨水:氨水的配制参照标准GB631-77。

缓冲液(pH=10),NH4Cl(GB65877)54g及25~25%的氨水(GB631-77)340ml,溶解于水配制成1000ml。

0.03M氯化钡(优级纯):称7.5g氯化钡,用于二氧化碳水溶解并稀释至11。

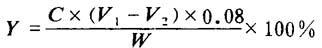
②测定步骤

将上述溶液加热至沸,准确缓慢加入0.03M氯化钡溶液20ml,并不断摇动三角瓶于电炉上加热、冷却至微温,然后加氨水20ml,pH=10缓冲液10ml,Cu-PAN溶液5ml,0.1%PAN指示剂5滴以0.03MEDTA标准溶液滴定近终点时,加20ml95%乙醇继续以EDTA标准溶液滴定至溶液呈黄色,同时作空白试验。

③计算公式

式中 Y——二氧化硫的百分含量(ml)

V1——空白消耗EDTA体积(ml)

V2——试样消耗EDTA体积(ml)

0.08——每毫摩尔相当于三氧化硫之克数

W——试样重量

C——EDTA标准溶液浓度

(4)加热减量测定

称取10g试样装入清洁干燥、恒重的称量瓶中,放入105~110℃恒温干燥箱中,保持1h后取出放入干燥器中冷却0.5h后,再称量计算加热减量。

计算公式:

式中 W1——加热前试样与称量瓶重(g)

W2——加热后试样与称量瓶重(g)

W——加热前试样重(g)

Y——加热减量

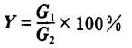
(5)细度的测定

称取试样20g左右,放入500ml的烧瓶中,加入3%碳酸钠水溶液20ml,加入100ml95%乙醇,接上冷凝管在电炉上加热回流0.5h,自然冷却至室温后,全部移入120目筛子中,筛子浸存于漏过筛的碱性乙醇溶液的搪瓷小盆中,用羊毛漆刷轻轻地刷至目测已脱脂时,再用粗柱缓流的水流,小心冲洗过筛,将筛余物放入105~110℃恒温烘箱中保持15min后,取出放入冷却盆中冷却至室温,然后将余物移入称量瓶中,在分析天平中称量,计算漏余量。

计算公式

式中 G1——漏余量(g)

G2——试样重(g)

Y——漏余量

(二)二盐基性亚磷酸铅测定

二盐基性亚磷酸铅的测定可参照标准HG2-1054-77。

(三)二盐基性苯二甲酸铅测定

二盐基性苯二甲酸铅的测定可参照二盐基性亚磷酸铅测试法。

(四)硬脂酸盐测定方法

硬脂酸盐测定方法包括硬脂酸钙、硬脂酸镉、硬脂酸钡、硬脂酸铅、硬脂酸锌等。

(1)仪器

熔点测定仪、毛细管、250ml三角烧瓶、滴定管、称量瓶、120目筛、0~300℃温度计。

(2)试剂

甘油、固体石蜡、乙醇、0.5N氢氧化钾标准溶液。

(3)测定步骤

①熔点的测定 装试样于薄壁毛细管中(毛细管Φ0.8~1.0mm;长45mm,一端封闭)。长约2~3mm,试样需装填密实。将毛细管放在温度计刻度两旁,并使底部与温度计水银球底端平齐,再将温度计插入熔点测定器中,注意不要与管壁接触,水银球及毛细管内样品必须完全浸在液面下,用微火加热。样品开始收缩时的温度即为初熔点,记录温度计上的读数。样品熔化成透明的液体时的温度为终熔点,取初熔点和终熔点平均值作为试样的熔点。

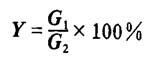
②细度测定 在药物天平上称取试样10g精确到0.1g置于200目筛中,筛上的颗粒用软刷刷在一起,装入称量瓶中称重。

计算公式:

式中 G1——筛余物(g)

G2——试样重(g)

③水分测定

称取约3g试样置于干燥恒重之扁形称量瓶中,在一定温度*的恒温箱中干燥3h,取出置于干燥器中,冷却后称量。

计算公式:

式中 G1——样品失重量(g)

G2——祥品重(g)

④酸值测定 称取试样3~4g,置于100ml烧杯中,加入25ml中性乙醇。用玻璃棒充分搅拌,然后过滤入250ml三角瓶中。过滤残渣用20ml中性乙醇分二次洗涤,洗涤倒入滤液,加酚酞指示剂以氢氧化钾乙醇标准溶液滴定至微红色为终点。

式中 NKOH——氢氧化钾当量浓度

VKOH——氢氧化钾之体积(m1)

⑤与AgNO3溶液作用 取试样少许(约0.5g),置于10ml乙醇中。用玻璃棒充分搅拌,静置约5mm,然后滴入10%的AgNO3溶液数滴,观察澄清液中有否混浊现象。

⑥金属含量的测定 金属包括铅、钙、镉、锌、钡等其含量用百分数表示,测定方法如下:称取试样0.5g(准确至0.0002g)置于250ml三角烧瓶中,加入浓硝酸5ml、蒸馏水20ml,加热回流至液面澄清以热蒸馏水冲洗冷凝管,冷却后加入4ml酒石酸及10mlpH=10的缓冲液以铬黑T作指示剂,用EDTA标准溶液滴定由紫色变为蓝色。

计算

式中 VEDTA——EDTA之体积(ml)

MEDTA——EDTA之分子量

Z——金属含量的百分数

⑦金属元素含量 此方法适合于铅、钙、镉、锌的百分含量测定。

钡的百分含量测定:称取试样的0.5g,置于三角瓶中,用移液管加入H2SO4溶液25ml,装上冷凝管加热回流至上层油脂透明为止,以蒸馏水冲洗冷凝管,加入酚酞指示剂,NaOH标准溶液滴定至微红色为终点,同时作一空白试验。

计算公式:

式中 V——空白试验所消耗的NaOH溶液的体积(ml)

V1——为试样所耗的NaOH溶液的体积(ml)

(五)二月桂酸二丁基锡

(1)相对密度测定

相对密度测定参照HG2-433-78。

(2)折光率测定

折光率测定参照HG2-440-66。

(六)失水苹果酸二丁基锡

(1)相对密度测定

相对密度测定参照HG2-433-78。

(2)折光率测定

折光率测定参照HG2-440-66。

随便看

 

离鸟网收录3541549条中英文词条,其功能与新华字典、现代汉语词典、牛津高阶英汉词典等各类中英文词典类似,基本涵盖了全部常用中英文字词句的读音、释义及用法,是语言学习和写作的有利工具。

 

Copyright © 2004-2024 vtrois.com All Rights Reserved
更新时间:2026/4/21 4:21:43