网站首页  词典首页


请输入您要查询的字词:

 

字词 稳定价值型养老金投资
类别 中英文字词句释义及详细解析
释义

稳定价值型养老金投资


美国缴费确定型养老金计划在过去15至25年期间的迅速建立和广泛利用对美国金融市场产生了重要影响。对投资管理趋势产生深远影响的这些计划的关键特征是制定投资决策的责任从计划发起人向个人计划参与者的转移。对主要投资目标是保全资本的保守参与者而言,由于稳定价值型投资的具有吸引力的收益率、稳定性和安全性,它们在公司养老金计划和公共养老金计划中都得到了广泛利用。

稳定价值性投资是一种合同条款规定了指定利率水平的本金回报保证的工具。稳定价值型资产的例子包括固定年金和传统的保证投资合同(guaranteed investment contract,GIC)、银行投资合同(bank investment contract,BIC)以及独立账户GIC和合成GIC等GIC替代工具。稳定价值型集合基金——投资于这些资产的专业管理集合信托——也得到了利用。稳定价值型资产与整个缴费确定型养老金市场同步增长,于2001年12月上升至2250亿美元以上。

稳定价值型资产的一个关键特征是其会计处理。根据一般公认会计准则(GAAP),只要稳定价值型工具符合规定的标准,就可以合同价值持有。合同价值是合同的购买成本加应计利息,并被调整以反映额外的存款或提款。这亦被称为账面价值。账面价值会计法消除了其他资产类别所经历的市场价值波动,并帮助导致了稳定价值型工具的较高的风险调整收益率。

最初,传统的GIC是占主导地位的稳定价值型工具。公司养老金市场的情况最初如此,大多数公共养老金计划至今仍是这种状况。人们认为这些产品的风险极低,在数家大型GIC发行者破产以前,它们几乎不面临任何竞争。尽管这些违约对这个不习惯于这种困境的行业形成了巨大挑战,但它们也推动了惊人的变化,并导致了新一代产品的发展,这些产品普遍被称为合成GIC。投资者以及最终的养老金计划参与者如今都获益于种类更为丰富的产品、提供商和策略。

本章将考察当今的稳定价值型投资组合利用的各种工具,并重点讨论GIC替代工具——这个市场中发展最为迅速的领域。我们还讨论了合同条款和投资组合管理的考虑因素,以及对稳定价值型资产的未来方向的一些思路。

稳定价值型产品

稳定价值型产品包括投资合同(GIC和BIC)、GIC替代工具、独立账户GIC、合成GIC、买入-持有合成结构、主动管理型合成结构、阿尔法合成结构和稳定价值型集合基金。

投资合同

传统的保证投资合同(亦称保证保险合同、利息合同或收入合同)是当今稳定价值型行业的基础。GIC是保险公司利用团体年金合同的形式发行的。作为保险合同,其还款义务由发行者的总账户提供支持。为了提高储户群体的多元化程度并以具有吸引力的利率获取资金,银行业于1987年开始发行与GIC竞争的银行投资合同(BIC)。尽管BIC为稳定价值型投资组合提供了行业多元化,但它仅占领了较小的市场份额,因此有限的发行者数量限制了供应。

尽管GIC和BIC的法律结构和监管范围有所不同,但它们的功能相似,因为合同发行者都从合格投资者那里获取资金存款,并在一个预定时期内保证特定的利率以作为回报。利息按单利或完全复合的利率累计,并每年或在合同期末被加以支付。合同包含各种条款(后面将要讨论这点),其中最重要的是保证以合同的账面价值为符合条件的参与者提款支付还款。这个特征使这些合同能以其账面价值、而不是以某个计算的市场价值定价。

尽管传统的GIC仍在大多数稳定价值型投资组合中扮演着重要角色,但对人寿保险行业风险暴露的多元化考虑已导致了其相对GIC替代工具的利用的减少。尽管一些投资组合含有大量的传统GIC投资,但人们通常相对其他投资选择评估这些产品并在其相对价值的基础上购买它们——就像在可售债券投资组合中的公司债券那样。

GIC替代工具

GIC替代工具是为在提高投资组合的多元化程度和加大投资者的控制权的同时,保留传统GIC的好处设计的。它们如今占稳定价值型市场的很大比例,并且这个比例还在增长。GIC替代工具的两种主要形式是通过人寿保险公司提供的独立账户GIC和保险公司、银行及其他金融机构发行的合成合同。

独立账户GIC

独立账户GIC与传统GIC最为接近,因为它们是作为团体年金保险以合同形式发行的,条款由双方谈判约定。然而,与GIC不同——它是由发行者的总资产支持的——在独立账户中,保险公司在其资产负债表中将该资产独立出来,以专使合同持有者受益。法律所有权仍归属于保险公司,但大多数联邦州都明确规定了合同持有者的证券受益权。因此,当保险公司破产时,该资产不会受到一般保险单持有者的索偿。

独立账户资产可以由保险公司管理,或在某些情形中由合同持有者选择的外部基金经理(经保险公司认可)管理。合同规定了一个初始的预定利率,它反映了基础证券的收益率,以及保险公司的承保费、管理费和投资管理费。

合同可能具有特定的期满日,或者资产也可能是一个固定的久期管理。在后一种情形中,合同没有指定的期满日(被称为“常青合同”)。在这个结构中,合同持有者在制定期限、信用品质和多元化的投资原则方面还拥有更大的灵活性。合同可以包含各种条款和条件,但关键特征是以账面价值为符合条件的提款向养老金计划参与者支付还款的条款。

合成GIC

合成GIC不仅具有独立账户GIC的特征,而且还具有由合同持有者保留合同基础资产的实际所有权和托管权的额外优势。在典型的合成结构中,投资者购买固定收益证券(或证券组合)并与第三方担保人签订合同。这个第三方通常是银行或保险公司,它们同意以合同的账面价值满足待遇支付和其他符合条件的参与者提款。担保合同(wrapperagreement)的发起人被称为担保(wrap)提供商。

投资者保留了基础证券组合的所有权,并获取一个相当于(对费用和其他因素进行调整后的)证券的年有效收益率的预定利率。此外,担保合同还向投资者保证了一个最低利率(通常为0%),以防范本金的损失。作为这些考虑的回报,担保提供商会获取一笔根据其承担的风险确定的费用。

合成GIC可能会涉及四方,包括投资者、担保提供商、外部基金经理和受托人/托管人。一家金融机构可以为投资者提供所有这些服务(捆绑产品),或者服务提供商也可以是不同的主体(非捆绑产品)。无论合成GIC涉及的方面如何,结构机制都十分相似。担保协议的条款将价值发生波动的可售证券的投资组合转换成了合成GIC。

买入-持有合成结构

在买入-持有合成结构中,投资者购买一只通常被持有至其最终期满日的证券。合同的预定利率一般保持固定不变,尽管假如预期或实际的现金流发生变化,利率可能会被重设。在这些方面,买入-持有合成结构与传统的GIC极为相似。至此为止,由于资产支持证券和房产抵押贷款证券的优良信用品质和相对具有吸引力的收益率,买入-持有结构大量使用了这些工具。买入-持有合成结构还可用内嵌在担保协议中的利率互换构建。在这种形式的产品中,投资者购买浮动利率证券,并用浮动利率换取固定利率。这些结构安排利用了变化多样的特征,尽管可赎回、可展期或可摊还(根据指标的表现)结构的利用最为常见。

主动管理型合成结构

利用管理型合成结构的基本原理是:人们相信主动式的投资管理会提高投资收益率并导致更高的合同预定利率。额外的好处包括更高的多元化程度和买卖证券或调整投资组合久期的能力(这提高了灵活性)。投资组合是用各种类型的固定收益证券构建的,包括美国财政债券和联邦机构债券、房产抵押贷款证券和资产支持证券,以及公司债券。

更为复杂的工具(如利率互换、期货和期权)也得到了利用,尽管其利用程度较低。投资者赚取的利息等于基础证券投资组合的总收益率减去担保费和投资管理费。在管理型合成结构中,由于账面价值会计法,年收益率的波动性大幅降低了。图23.1显示了担保合同对可售证券投资组合的抚平效应。图中描述了雷曼兄弟中期政府/公司债券指数在最近10年期间的季度收益率。覆盖在此图上的虚线是指数在经担保的情况下,在每个时期内实现的收益率(扣除10个基点的年担保费)。正如我们可以看到的那样,经担保的投资组合的季度收益率更为稳定。

图23.1 季度收益率比较(1987年1月-2001年6月)

管理型合成结构有两种形式:免疫结构和固定久期结构(常青结构)。免疫合同具有固定的期限,因此基础投资组合的久期将会逐渐下降,以接近期满日。常青合同则是在既定的久期区间内管理的,它通常不规定具体的期满日。至此为止,常青合同是最为常用的管理型合成结构。

阿尔法合成结构

一种被称为阿尔法合成结构的更新的混合工具综合了买入-持有结构和管理型结构的特征。在阿尔法结构中,担保合同内嵌了一个利率互换。投资者同意在指定时期内支付既定基准的总收益率,并换取一个被称为基础利率的固定收益率。基础利率是当前的财政债券收益率和相对所选定的指数的利率互换利差的函数。投资组合被主动地加以管理,以超过所选指数的表现。所有正数的业绩利差(被称为投资组合的阿尔法)都由投资者赚取。

结构的初始预定利率通常等于基础利率减去担保费和投资管理费。有时,投资经理的预期业绩利差的估计值被添加至基础利率上,以确定结构的初始预定利率。接着,预定利率被定期重设(通常为每年重设一次),以反映投资组合的实际业绩。

稳定价值型集合基金

单独的稳定价值型投资组合通常会投资于本章描述的大多数(如果不是全部的话)产品。然而,许多雇员福利计划都选用了专业管理的稳定价值型集合基金,而不是试图自己管理投资组合。中小型计划尤其如此,这些计划越来越难以在不发生高额交易成本的情况下实现恰当的投资组合多元化。此外,许多大型计划都将集合基金工具用作在其投资组合中为符合条件的提款提供即时流动性的缓冲。这种流动性基金或缓冲通常是合同发起人为尽可能减小利用其合同支付账面价值还款的可能性而规定的契约性要求。由于这个原因,只要稳定价值型集合基金的表现超过货币市场基金等短期投资,投资于这些基金就能提高投资组合的总体收益率。

稳定价值型集合基金的运作与共同基金相似,但它们不必作为证券在证券交易委员会注册。这些基金是通过银行和信托公司向信托客户提供的集合信托,它们只能接受合格的雇员福利计划作为投资者——包括任何根据《国税法》的第401(a)节符合条件的计划和该法律的第457节所描述的递延报酬计划。基金通常以与共同基金相同的方式每日被加以估值,因而为计划发起人对参与者的供款进行投资和支付计划待遇提供了很大的灵活性。集合基金投资于各种类型的稳定价值型产品,它们为养老金计划提供了持续的专业管理、高度的多元化、优良的信用品质和具有竞争力的收益率。

稳定价值型产品的演变

在定义了现有的各种稳定价值型产品后,从历史角度考察这个市场可能会为我们提供一些对这些产品当前在投资组合管理背景下的运用以及对稳定价值型产品的未来演变方向的深入见解。

起始阶段

继1974年的《雇员退休收入保险法案》(ERISA)颁布后,缴费确定型计划的参与者自己选择投资方向的概念开始浮出水面。这部法律的一个重要后果是保证年金合同(GAC)的利用的增加,这种合同在之后的多年中占有了缴费确定型计划的很大份额。GAC(亦称即时参与保证合同)由人寿保险行业(它一直走在美国养老金的开发和管理的前沿)提供,它是一种具有固定利率的无期限合同,计划参与者在退休时可将之转换为个人年金。在20世纪70年代后期和80年代早期利率大幅上升以前,这种选择权十分受人欢迎。在利率上升后,GAC相对当时的两位数短期市场利率的低利率引起了计划参与者的不满。这些事件推动了如今的保证投资合同(GIC)的创建。GIC在提供相对较短的固定期限的同时保留了固定利率特征,以实现更为迅速的再投资和具有竞争力的收益率。

在这些事件发生的同时,美国税法经历了重大修改,并最终允许参与者对合格的雇员福利计划——包括401(k)计划——的供款进行税收递延。这些修正推动了新建缴费确定型计划的爆发性增长和雇员参与程度的提高,并将制定投资决策的责任交给了个人计划参与者。GIC十分容易理解。这种固定利率、固定期限的结构与银行的大额存单(CD)十分相似,因此它们很可能是这些变化的受益者,并呈现了规模的迅速增长。这种增长吸引了竞争,1987年,少数银行开始发行BIC以与GIC竞争。

在这段时期内,许多计划发起人都自己管理其GIC,并直接从发行者那里或通过顾问和GIC经纪人购买GIC和BIC合同。一些计划仅利用一家保险公司的GIC,它们或是提供一个年等级(class year)结构(参与者每年都在其供款上获得一个新的利率),或是提供一个每年发生变化的混合利率。为了向小型计划或在大型计划的起步阶段提供多元化的GIC选择,许多银行于20世纪80年代中期开始提供GIC集合基金。这些基金拥有独立的专业管理、信用监督、多元化,以及共同基金型的结构和流动性(受到某些限制)。

替代工具(合成工具)的兴起

传统的GIC被认为是相对安全的,它们向参与者提供了本金保证和利息。在20世纪80年代后期储蓄贷款行业出现危机并且人们同时也对银行和保险公司产生了信用顾虑后,这种看法开始发生转变。1991年Executive寿险公司的违约和加州保险委员会对该公司的查封使这种转变更为彻底了。

随着GIC投资者对信用和多元化的日益担心,银行家信托公司(Bankers Trust)于1990年开始提供首个合成GIC替代工具。这种工具被称为BASIC——可获利益证券投资合同(benefits accessible securities investment contract)——它提供了对单只可售固定收益证券的账面价值担保。1991年,银行家信托公司继而又推出了管理型BASIC,它为证券投资组合提供了担保。

随着合成结构逐渐深入市场,银行家信托公司是少数活跃的发行者之一。这些早期产品的购买者通常是更为成熟的投资者,如自己管理养老金计划的计划发起人或专业的稳定价值型产品投资经理。然而,继Mutual Benefit寿险公司(1992年)和Confederation寿险公司(1994年)的广被报导的违约后,合成GIC开始被广泛用以提高投资组合的多元化程度和降低信用风险。

图23.2提供了重大市场进展的时间表。保险行业迅速跟上了银行家信托公司的步伐。它推出了自己的担保合同,并付诸更大努力于营销特征与担保协议相似的独立账户GIC,尽管资产所有权和托管权仍归属于保险公司。随着计划发起人在发行者违约后寻求雇用外部受托人管理其投资组合,集合基金也更加受到了欢迎。大型的多元化集合基金被认为是内部管理以外的一种具有吸引力的选择。

图23.2 稳定价值型市场的演变

当今的稳定价值型市场

由于稳定价值型产品在缴费确定型计划市场中的独特地位,稳定价值型市场已从先前的GIC形象演变为一个拥有其自己的协会的行业。许多稳定价值型行业的专业人士如今都辩论由于稳定价值型产品的独特风险/收益特征,它应是一种独立的资产类别。确实,许多计划发起人和计划参与者都必须同意这个论点,因为根据一些估计,稳定价值型资产的规模如今超过了2250亿美元。

尽管在历史上,传统的GIC占有了稳定价值型市场中最大的投资资产份额,但它们近期则逊色于作为主导资产的合成GIC,因为合成结构所提供的多元化和更高的灵活性吸引了投资者。根据人寿保险营销研究协会(LIMRA)和稳定价值型投资协会发布的数据,合成GIC如今占有51%的市场份额(1150亿美元),而传统GIC仅占有40%的市场份额(910亿美元)。向合成结构迁徙的现象在专业的稳定价值型投资经理中尤其普遍。根据Hueler Analytics公司的数据,截至2001年9月30日,合成GIC占稳定价值型集合基金资产的67%。表23.1提供了按产品市场份额对稳定价值型资产的分类。

表23.1 截至2000年12月31日的产品市场份额

资料来源:恒康保险公司(John Hancock),寿险营销研究协会(LIMRA)和稳定价值型投资协会,已经许可。

在不断上升的需求和相对具有吸引力的收费的引诱下,许多担保提供商如今都已加入了市场。银行(包括外资金融机构的境内分行)如今占主导地位,它们拥有大约67%的经担保的资产。尽管保险公司受到的一些限制使其提供合成结构的能力受到了局限,但它们也占有了33%的市场份额。表23.2列举了活跃的担保提供商。

表23.2 截至2000年12月31日的合成GIC发行者及其未偿的经担保的资产

资料来源:Galliard资本管理公司

稳定价值型投资组合管理

近年来,由于创新产品和新提供商这两者的组合几乎重新定义了投资组合的构建和管理方式,稳定价值型投资组合管理发生了巨大变化。合成结构等GIC替代工具的利用的增加已使投资组合管理发展到以下程度:投资经理可以在通过账面价值担保保留稳定价值型工具的低收益率波动性特征的同时,在稳定价值型投资组合中效仿大多数传统的债券管理策略。事实上,跨国银行、证券交易商和固定收益投资经理等主要债市参与者都走在产品开发和行业变迁的前沿,因为它们想方设法将其专业知识应用于一个直至最近为止,一直由保险公司主导的市场。

本节重点说明了在传统的稳定价值型投资组合的管理中的一些总体考虑,并着重讨论了合成结构的利用。它还讨论了影响投资组合构建过程的一些相关合同条款和考虑因素。

稳定价值型投资组合的目标

与稳定价值型工具如今在大多数缴费确定型计划中作为安全投资选择的角色一致的是,管理这些投资组合的优先目标是保全本金。满足参与者提款的流动性是另一个考虑因素,赚取一个高于期限较短的其他投资工具的相当稳定的收益率也十分重要。投资组合管理策略应考虑这些目标,并应引导个体证券的选择。

信用品质

稳定价值型投资组合持有的所有工具——无论是传统的GIC/BIC、担保合同还是担保合同的基础资产——都必须是优质工具。投资经理在一开始采用一个极其严格的信用评估程序评估发行者,并对他们进行持续监督。大多数投资经理都建立了A或AA级的最低信用品质评级标准,并要求投资组合的总体品质评级超过穆迪投资者服务公司的Aa3级或标准普尔的AA-级。合成GIC可以提高投资组合的信用品质,因为其基础证券通常是美国政府或其机构的债务、结构完善的房产抵押贷款/资产支持证券或高评级的公司债券。然而,投资者必须比考察财务报表和评级机构的意见更深入一步。他们还必须研究发行者的业务组合、杠杆比例、投资组合的结构和流动性、管理的广度和深度等因素。

多元化

多元化是所有投资组合管理过程中的一个关键要素,在合成工具出现以前,它对稳定价值型投资组合是一个尤其棘手的问题。根据ERISA,雇员福利计划的受托人必须恰当地分散投资组合,以尽可能降低发生大额损失的风险。我们可以论证在历史上,许多稳定价值型投资组合都未履行这个义务,因为它们的风险几乎完全暴露于金融服务公司,并且通常高度暴露于单个发行者。然而,正如我们先前讨论的那样,20世纪90年代早期的违约已将人们的注意力吸引至多元化问题上,并导致了合成结构的繁衍。

谨慎的多元化标准将投资于单个发行者的投资组合资产限定在不超过10%的水平。大多数固定收益从业人员都将非美国政府债券的持有比例限定在5%或5%以下,并在不同的固定收益领域、行业和证券类型之间进行广泛的多元化。稳定价值型投资组合的投资经理可以通过考察合成结构的基础证券,达到类似的结果。传统的GIC/BIC应被看作是投资组合的一个重要组成部分,但与其他所持证券相同,它们受到行业多元化原则的限制。

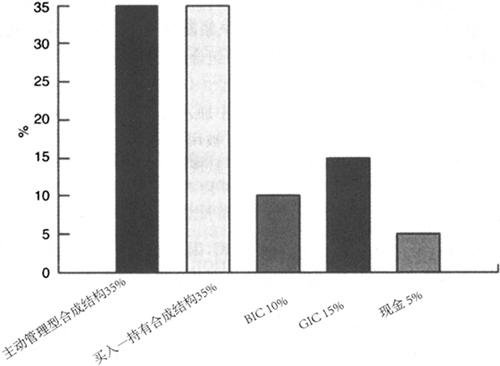
投资经理应根据在单个发行者或领域中的净风险暴露测量多元化限制。对合同发行者而言,投资经理应将传统合同的全额本金风险暴露和发行者的合成合同的市场价值与账面价值的差额相加起来。同样,投资经理还应测量其所持的所有基础证券的信用风险暴露。图23.3和23.4显示了一个多元化的稳定价值型投资组合。正如图中显示的那样,它们在综合的投资组合层次和基础证券层次恰当地测量了多元化。

图23.3 虚拟的稳定价值型投资组合——投资组合层次的多元化

图23.4 虚拟的稳定价值型投资组合——证券层次的多元化

期限结构

稳定价值型投资组合的期限结构必须确保流动性足以满足参与者的提款。一般而言,一个至少相当于投资组合的5%的现金缓冲会被投资于稳定价值型集合基金、货币市场基金或其他具有流动性的短期工具。接着,投资组合会持有期限依次更长的个体证券,以定期提供资金。用这种方式搭配投资组合将确保组合中有足够的资金满足流动性需求和以现行市场利率被加以再投资。投资组合的期限结构通常较短,平均为2至3年,其所持的期限最长的证券很少超过5至7年。

然而,合成合同大幅提高了投资组合期限结构设计的灵活性,因为基础证券具有高度的可售性。假如基础证券的市场价值显着低于账面价值,那么流动性可能会受到限制。然而,当市场价值接近或高于账面价值时,投资组合经理将更能满足特殊的提款要求或改变投资组合的成分。

投资经理在设计期限结构时,必须在等式中加入具有固定久期的主动管理型合成结构。每个主动式管理的投资组合的平均期限可被用作合同期限的代变量。然而,在投资组合结构中,管理型合同既不会到期,也不会贡献现金流。

久期和凸性

过去,由于投资组合经理仅利用传统的GIC,因此不需要理解久期或凸性。然而,合成结构的利用要求投资组合经理跟踪稳定价值型基金中的合成结构之基础证券的久期特征。这需要一个复杂的分析系统。由于稳定价值型基金的本金保全目标,基础证券的波动性应与2至3年的平均期限一致。当投资组合经理利用具有各种现金流特征的证券(如房产抵押贷款过手证券或房产抵押贷款/资产支持证券)时,波动率的测量尤其重要。主动式管理的投资经理必须制定准则以确保高风险房产抵押贷款证券不被过分加以利用。这些工具的负凸性可能会显着影响现金流,这进而又会影响基础投资组合的市场价值,从而影响合同的预定利率。

合成结构之间的资产配置

在综合的投资组合层次设计的投资组合策略必须规定不同类型的合成合同和不同发行者的配置比例。这种配置没有具体的公式,因为它取决于投资组合经理对使用合成结构的适应程度,以及其专业知识。一个方法是先确定现金和传统合同的配置,然后将剩余资产分配至合成结构,并平衡买入-持有合同和主动管理型合同的比例。买入-持有结构为投资组合提供了现金流,投资组合经理应遵循有关信用品质、多元化和期限的投资组合原则组建这些结构。

主动管理型合成结构的构建目的是达到特定的收益率目标,但它们必须符合总体的投资组合原则。投资经理通常会相对该结构选择一个基准并制定管理原则。我们应仔细考虑投资经理所被赋予的自由度。负责在投资组合的市场价值下跌至账面价值以下时弥补缺额的担保提供商,通常会限制投资经理使投资组合的久期偏离其基准的能力。担保提供商还会限制(如果不是完全禁止的话)高风险证券的利用,这使它们能够量化潜在的义务并控制风险。

投资组合管理——另一个观点

最近,大型养老金计划的发起人在管理其稳定价值型投资组合时采用了一个较不传统的方法,它们选择用与其他固定收益选择更为相似的方法来看待这些投资组合,区别只是多了一个账面价值担保。这种配置策略牵涉到为基金雇用一个或多个主动式管理的固定收益经理(每个经理都拥有特定领域的专业知识或风格)以积极地管理计划中的所有资产——与它们构建可售债券基金或待遇确定型计划的固定收益组合的方法相似。接着,计划发起人签订一份或多份账面价值担保协议,以使投资组合的估值等于账面价值。

每个经理都必须遵守与计划发起人和担保提供商协定的一组投资原则。发起人可能会为正常计划利益的支付维持一笔流动性准备金,以降低从主动管理型合成合同支付账面价值还款的可能性。

假如计划的现金流历史一直保持盈余状况,那么计划发起人可能会保留很少或不保留准备金。但担保提供商会要求发起人仅购买经历定率(参与式)的合同,从而使待遇支付时的投资组合市场价值相对账面价值的缺额能够从计划中回收,而不是由担保提供商吸收。

合同考虑因素

由于各种类型的稳定价值型合同没有行业标准,因此不同发行者的合同可能会有显着区别。因此,投资者必须仔细查看合同,并应在合同的最终执行日前完成这项工作。所有合同都会包含关于签约方的法律陈述和保证的条款,以及关于预定利率的计算、合同提款、终止(包括市值调整公式)和整个计划中的提款层次(即按比例或后进先出)的条款。

合成合同更为复杂,它们必须包含关于处理在提款或合同终止时从基础证券的清算实现的损失的额外条款。合成合同可以是经历定率或非经历定率的(亦称参与式或非参与式的)。假如合成合同是经历定率的,那么所有为提供提款资金从证券出售实现的损失都将由计划承担,并通过向参与者支付更低的预定利率回收。在非经历定率的合同中,损失风险由发起人承担。正如我们预期的那样,非经历定率的合同的收费比经历定率的合同略微更高,以为发起人承担的额外风险提供补偿。

稳定价值型工具的未来

稳定价值型产品、提供商和策略新近发生的巨大变化将在未来数年中继续重塑这个市场。尽管在婴儿潮人士于2007年左右终于开始退休以前,整个行业的资产可能只会经历小幅增长,但这个市场将继续在产品的利用和开发、投资组合管理策略以及参与者本身方面发生显着变化。本节将简要地讨论市场的一些主要趋势,并提供我们对未来的一些想法。

从产品的角度来看,集合基金和主动管理型合成结构将有可能继续经历稳健的增长,传统GIC的利用则预期会进一步减少。独立账户GIC将会被加以利用,但程度不如合成结构。固定收益经理显然会受益于市场向管理型合成结构的变迁,他们将继续在市场中扮演越来越重要的角色。确实,一个更有趣的发展将是固定收益经理与稳定价值型经理的区别的逐渐消失。

对稳定价值型资产经理而言,近期的市场发展将在很大程度上通过成功地占领缴费确定型市场的其他领域实现,如公共递延报酬计划(457)和免税组织的退休金计划(403[b])。这些领域刚开始效仿公司养老金市场提供更多元化的稳定价值型选择,包括合成GIC和集合基金,银行储蓄工具和固定年金的利用则减少了。

产品创新也在继续。SEC最近首次注册了一个稳定价值型基金。共同基金以计划参与者受欢迎的形式提供了一种专业管理的多元化基金,使他们能够每日在报纸上跟踪其投资,并在退休时转移投资。合成结构的创新也在继续,包括专业化固定收益风格和其他资产类别(如高收益率债券、外国债券,甚至是股票)的担保。

尽管这些新结构仍是市场的一个较小部分,但对更高收益率的追求正在风险更大的策略中体现出来。计划发起人必须注意理解在其稳定价值型选择中用到的所有策略,并确保他们对投资经理在这种投资选择所声明的保全本金的既定目标下,维持恰当的风险水平感到放心。

在发起人方面,随着这些合同实质上的商品化,担保费用继续呈现急剧下降。担保协议的费用平均为8至12个基点,许多交易的费用甚至更低。担保费用的继续下降可能会导致这个行业中发起人的合并,一些规模十分庞大的参与者将会出现。

行业中正在推动的最后一个趋势与稳定价值型工具作为一种独立的资产类别,在风险和收益率方面具有很高效率的事实相关。由于稳定价值型工具的诱人收益率和较低的收益率波动性,行业中的许多人士开始推荐将其作为平衡型基金中传统债券投资组合的替代工具。由于这些工具的风险调整收益率更高,投资者可以通过用它们代替可售债券,降低其投资组合的风险(波动性)。同样,投资者可以通过在平衡型账户选择中利用稳定价值型工具,在维持相同的收益率波动性水平的同时,提高在股票中的风险暴露程度和预期收益率。

稳定价值型工具是否能成为平衡型账户策略中的主要产品还有待观望。目前已经清晰的是:参与者十分欢迎稳定价值型投资的高收益率/低波动性特征,并且在未来可能会继续将很大部分的固定收益投资配置给这个资产类别。

【作者信息】:Galliard资本管理公司高级合伙人 Galliard资本管理公司高级合伙人

随便看

 

离鸟网收录3541549条中英文词条,其功能与新华字典、现代汉语词典、牛津高阶英汉词典等各类中英文词典类似,基本涵盖了全部常用中英文字词句的读音、释义及用法,是语言学习和写作的有利工具。

 

Copyright © 2004-2024 vtrois.com All Rights Reserved
更新时间:2026/4/20 22:12:06