网站首页  词典首页


请输入您要查询的字词:

 

字词 税率式避税
类别 中英文字词句释义及详细解析
释义

税率式避税


税率式避税指纳税人通过降低适用税率的方式来减轻税收负担。税率是税收制度的一个重要要素。各种不同的税种适用于不同的税率,这在税法中有明确规定,纳税人并不能改变计税的税率。但是,不同税种往往是以课税对象或纳税人不同而区分的。有时课税对象界限并不十分明确,或是纳税人真正身份并不容易确定,这就为纳税人避税提供了机会。即使在适用税种已经明确的情况下,适用税率也会因税基的不同而发生相应的变化,纳税人可以通过改变税基分布调整其适用税率,从而降低税收负担率,以达到合理避税的目的。在税基既定的条件下,税额的大小和税率的高低呈正方向变化。税率式避税正是有效地运用了这一简单而又最基本的原理。

就税率式避税常用的手段看,通常有两种方法:低税率法和利润(或财产)转移法。

一、低税率法

低税率法是指纳税人通过一定的合法途径,使其所拥有的课税对象直接适用于较低的税率计税,以达到减轻税收负担的目的。引起这种避税行为的外部原因主要在于税收的地区、行业差异以及对不同所有制性质的企业实行不同收入待遇的结果。

许多国家为了鼓励国内外投资者投资及经营各种经济业务和从事各种经营活动,设立了经济特区和经济开发区,并对经济特区和经济开发区实行税收优惠政策,诸如降低税率、减少纳税环节等。但是,经济特区和经济开发区的税收优惠所产生的影响并非仅限于那些位于这一区域内的纳税人。因为低税区的税收优惠政策的实施在客观上造成了国内区域之间的税收差距,这就为国内纳税人利用这种差距进行避税和利润转移创造了条件。

比如,一些投资者可以将企业设在经济特区或经济开发区,而其业务活动则不在或主要不在经济特区或经济开发区,但是,其经营收入或所得则可按低税区的税率计税。我国税法规定,在海南岛举办的企业(国家银行和保险公司除外),从事生产、经营所得或其他所得,均按15%的税率征收企业所得税。另按应纳税额附征10%的地方所得税。这样,税收的总负担率只有16.5%。又比如,一些投资者可以在经济特区或经济开发区虚设信托机构,实行财产信托,运用低税率计税进行避税。这里的财产信托是指企业将其拥有的机器、设备、房产、有价证券等统统虚设为特区或开发区的信托财产,然后将这部分财产的经营所得、利润收入挂在特区或开发区信托公司的名下,这样,这部分财产的经营所得、利润收入就可以按照特区或开发区的税率进行计税。

低税率法避税,纳税人除运用区域间税率差别外,有时还运用行业间的税收差别。前者主要表现在所得税方面,而后者主要表现在流转税方面。当流转税税目划分不明确,而一些企业的生产经营活动及其产品又介于二个部门或行业之间,在这种情况下,若二个部门或行业增值税或营业税的税率存在差别时,纳税人将选择抵税率进行计税,从而达到避税的目的。

在我国,企业所得税曾经是按照不同所有制类型来设置的。由于不同性质企业适用于不同的税法,按不同税率计税,这样,也为企业合理避税提供了条件。从过去的税率表来看,国营大中型企业适用于55%的比例税率,国营小型企业及集体企业适用于八级超额累进税率,私营企业适用于35%的比例税率,外商投资企业和外国企业适用于33%的比例税率。从税收负担来看,国营大中型企业最重,国营小型企业和集体企业次之,而外商投资企业和外国企业负担最轻。由于所得税的适用范围是按企业经济性质来区分的,一些企业为了减轻税收负担,往往虚设经济性质,如将国营企业虚设为集体企业,或将内资企业虚设为外商投资企业和外国企业,或将私营企业虚设为集体企业。在很多情况下,税务机关即使完全了解企业为虚设的,为“假集体”或是“假合资”。也无法根据其真实的经济性质调整其适用税率。因为这些企业都是通过工商行政管理部门依法登记设立的,其身份具有合法性,因而只能按照其营业执照上所注明的经济性质来征税。企业“依法”纳税,天经地义,任何人都无权加以干涉。

这里需要说明的是,过去一些私营企业虚设为集体企业,避税只是其中的一个原因。企业考虑更多的,恐怕是声誉问题。当然,还有一个观念的转变问题。从税收角度看,私营企业适用于35%的比例税率,而集体企业适用于八级超额累进税率。适率的最低一级为10%,最高一级为55%。当集体企业规模较小。年所得额在41000元左右时,其税收负担率与私营企业大体上拉平。当集体企业年所得额不足41000元时,其税收负担率轻于私营企业。而只有当集体企业年所得额超过41000元时,其税收负担才会重于私营企业。因此,小型私营企业运用虚设经济性质的手段,确实已达到了避税目的。此外,许多地区为了鼓励集体企业的发展,对集体企业创办初期往往给予一年的免税照顾,企业在经营的头一年,可免交所得税,而私营企业却享受不到免税期的待遇。

从税负公平角度看,企业的纳税地位,不应以其经济性质的不同来区分。实际上,按企业经济性质的不同来设置税种,这是一定历史条件下的产物。从1994年1月1日起,我国的内资企业所得税已经统一。随着商品经济的进一步发展,统一内资企业和外资企业所得税的条件也将日趋成熟。那时,运用不同所有制性质企业的税收待差异来进行避税的条件也将随之而消失。但有一点需要提醒的是,对外商投资者实行税收优惠,这在发展中国家将会长期存在的。因此,避税活动将会长期存在,并以更加复杂的形式表现出来。

二、利润转移法

利润转移法,是指纳税人将公司所得或财产转移到税收待遇尽可能符合自己要求的地方,以减轻税收负担的一种方法。这里的利润转移,一般发生在关联企业之间。所谓关联企业,一般指利益上相关联的企业,如联营单位,或是母子公司、总公司与分公司。目前,我国国内税法并没有对关联企业一词赋予明确的含义。在涉外税法中,《中华人民共和国外商投资企业和外国企业所得税法实施细则》第五十二条是这样概括的:关联企业是指与企业有以下之一关系的公司、企业和其他经济组织:

(1)在资金、经营、购销等方面,存在直接或间接的拥有或者控制关系;

(2)直接或间接地同为第三者所拥有或者控制;

(3)其他在利益上相关联的关系。

纳税人之所以愿意使利润在关联企业之间转移,原因在于,关联企业各成员之间在税收待遇上存在差异。如关联企业各成员中,有的为国营企业,有的为外商投资企业或外国企业。由于各企业适用于不同的税法,税收负担不均衡,这就有可有导致利润从适用税率高的企业流向适用税率低的企业。关联企业的各成员作为一个有机整体(在本书的后面,有时简称为“企业集团”),其利益从根本上来说是一致的。通过利润转移,可以使这个整体的税收负担最小化。这就是利润转移的动力所在。

利润转移法之所以归并到“税率式避税”方式,是因为,利润转移后,整个企业集团的税收负担额减少,税收负担率降低。也就是说,相当于降低了整个企业集团的税率。

在对利润转移法进行剖析之前,我们先介绍一下有关税率的一些概念:比例税率、累进税率、适用税率、税收负担率。

比例税率是指不随课税对象大小而变化的税率。也就是说。同一课税对象,不管其数量大小,都使用同一个税率。

累进税率指随着课税对象增大而提高的税率。它将课税对象按数额大小分为若干个级距,每一级距适用于某一相应的税率,课税对象的数量越大,适用税率便越高。

累进税率又有全额累进税率和超额累进税率之分。全额累进税率计税时,就纳税人拥有的课税对象总额按与之相应级距的税率计算税额。这种税率一般情况下并不使用,只有在特殊的情况下才使用,比如,我国五十年代对资本主义工商业进行社会主义改造时,对私人工商业的所得便采用了全额累进课税的办法。一般情况下,累进税率采用超额累进办法:将课税对象划分成若干个级距,每个级距分别采用与之相应的税率计税,然后加以汇总,得出应纳税额。

采用超额累进税率时,每个级距内都有一与之相应的税率,这一税率又叫适用税率,有时,称为边际税率,或适用的边际税率。所谓边际税率,按其原意,是指所得额增加一个单位所适用的税率。换言之,是引致所得税额和所得额正相关变动的税率。在比例课税条件下,边际税率始终不变。在超额累进课税条件下,纳税人依其所得不同有不同的边际税率。一般认为,一定的所得额所适用的最高税率即为边际税率。

税收负担率是指税收负担额与课税对象的数额的比率。在比例课税条件下,税收负担率始终不变,并与比例税率值相等。在超额累进课税条件下,税收负担率随课税对象增加而提高,但它总是小于适用税率或边际税率。

在弄清楚了与税率有关的这些概念之后,我们就可以比较顺利地对利润转移法避税的基本原理进行分析了。

某国营大型企业甲与集体企业乙为关联企业,1992年,企业甲实现利润20万元,企业乙实现利润1万元,按照当时税法规定,企业甲以55%的比例税率交纳所得税,并以6.8%的比例税率交纳调节税。企业乙按八级超额累进税率交纳所得税(税率表可参见表9-3-2)。企业甲、乙应纳税额的计算过程为:

企业甲应纳所得税:

200000×55%=110000元

企业甲应纳调节税:

200000×6.8%=13600元

企业甲应纳税总额为:

110000+13600=123600元

企业乙应纳所得税额为:

1000×10%+(3500-1000)×20%+(10000-3500)×28%=2420元

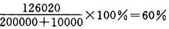
关联企业甲、乙作为一个整体,应纳税额为:

123600+2420=126020元

关联企业甲、乙作为一个整体,税收负担率为:

现在,假如关联企业甲、乙的财务人员经过筹划,决定通过一定的途径,使企业甲的一半利润转移到企业乙,即企业甲的应税所得额减少为100000元,企业乙的应税所得额增加为110000元,于是有如下的结果:

企业甲应纳所得税额为:

100000×55%=55000元

企业甲应纳调节税额为:

100000×6.8%=6800元

企业甲应纳税总额为:

55000+6800=61800元

企业乙应纳所得税额为:

1000×10%+(3500-1000)×20%+(10000-3500)×28%+(25000-10000)×35%+(50000-25000)×42%+(100000-50000)×48%+(110000-100000)×53%=47470元

关联企业甲、乙作为一个整体,应纳税额为:

61800+47470=109270元

关联企业甲、乙作为一个整体,税收负担率为:

和利润转移前相比较,关联企业甲、乙作为一个整体,税收负担额由原来的126020元减少到109270元,绝对额减少16750元,税收负担率由原来的60%下降到52%,降低了8个百分点。

关联企业间利润转移,为什么会引起应纳税额的减少和税收负担率降低呢?原因在于,企业乙所得的适用税率始终比企业甲低。当然,对企业乙来说,随着所得额的增加,适用税率也是逐渐提高的。也就是说,随着所得额的增加,企业乙的税收负担率也是在不断提高的。但是,只要企业乙的税收负担率低于企业甲的税收负担率,那么,利润从企业甲转移到企业乙,对整个关联企业集团来说,其税收负担率总是会逐渐降低的,尽管其降低的幅度在逐渐减小。

上面我们列举的是两家关联企业间运用利润转移而降低税收负担率的例子。一般地说,若存在若干家企业,它们之间为关联企业,而且这若干家企业分别适用于不同的税率表计税,那么,从纯理论角度讲,只要这若干家企业的边际税率不均衡,则必然存在着利润从税边际税率高的企业通过一定途径转移到国际税率低的企业的动力,以减轻企业集团的税收负担水平。而且,这种转移会一直持续到各企业的边际税率达到均衡为止。这时,对整个企业集团来说,其税收负担已达到了最小化。

例如,企业A、B、C为关联企业,1992年,其所得分别为250000元、300000元和80000元。三个企业所得税税率表分别如表9-3-6表9-3-7、表9-3-8所示。

表9-3-6 企业A适用税率

表9-3-7 企业B适用税率

表9-3-8 企业C适用税率

我们首先来看看不存在利润转移条件下,企业A、B、C分别应交纳所得税的情况。

企业A应纳所得税为:

200000×15%+(250000-200000)×20%=40000元

企业A的税收负担率为:

企业B应纳所得税为:

100000×18%+(200000-100000)×20%+(300000-200000)×22%=60000元

企业B的税收负担率为:

企业C应纳所得税为:

80000×5%=4000元

企业C的税收负担率为:

企业A、B、C作为一个整体,应纳所得税额为:

40000+60000+4000=104000元

企业A、B、C作为一个整体,税收负担率为:

由于企业A、B、C适用的边际税率不均衡,企业A的边际税率为20%,企业B的边际税率为22%,均高于企业C的边际税率5%。因此,只要可能就会发生关联企业间的利润转移,以减轻企业集团的税收负担。

这里,对企业财务人员来说,关键问题是决定利润如何转移以及转移的额度。

从利润转移方向看,首先是降低边际税率最高的企业的适用税率。由于企业B的边际税率最高,为22%。因此,应当使企业B的部分利润转移至边际税率最低的企业C。这里,转移的额度应当为200000元。因为转移这部分利润后,企业B的边际税率降低至18%,低于企业A的边际税率20%。企业B转移200000元利润至企业C后,企业C的利润增加至280000元,边际税率达到15%,不过,它也低于企业A适用的边际税率20%。于是,企业A也应将部分利润转移至企业C。这里,利润转移的最大数额应当使企业C的边际税率不超过15%。也就是说,最大数额只能为:

300000-280000=20000元

企业A的利润总共为250000元,转移20000元至企业C后,剩余利润为230000元。这时,企业C适用的边际税率仍为15%,企业A适用的边税税率为20%(企业B适用的边际税率为18%)。在这种状态下,虽然企业A、B的边际税率均高于企业C的边际税率,但是,企业A的利润如果继续向企业C转移,企业C的边际税率就会上升为22%,高于企业A的边际税率20%;同样,企业B的利润如果继续向企业C转移,企业C的边际税率也将上升为22%,高于企业B的边际税率18%。也就是说,企业A、B的利润向企业C继续转移,都会使整个企业集团的税收负担增加。

细心的读者可能已经发现,企业A的边际税率仍然高于企业B的边际税率(分别为20%和18%)。试问,是否有必要使利润从企业A再转移一部分至企业B呢?

单纯从避税角度出发,利润继续从企业A转移至企业B是没有意义的。因为利润继续由企业A向企业B转移后,企业B和企业A的边际税率将趋于相等,并不能使整个企业集团的税收负担额减少,税收负担率降低。

这里,我们可以看出,关联企业间发生利润转移后,虽然企业A、B、C边际税率不相等,但是,已经达到了这么一种状态:关联企业间利润的任何继续转移,都不会使整个企业集团的税收负担额减少,税收负担率降低。我们称这种状态为均衡状态。在均衡状态下,各关联企业适用的边际率可能不相等,但是,我们称边际税率已达到了均衡。

当然,边际税率的均衡,可以有多种表现形式。在我们的例子中,只是其中的一种表现形式。其它表现形式可以是,企业B少转移部分利润至企业C,而由企业A多转移相应部分利润至企业C。这里,其额度可以在0-30000之间变动,也就是说,企业B转移至企业C的利润可以在20000-170000元范围内,相应地,企业A转移至企业C的利润可以在20000-50000元范围内。在这段区间范围内,只要企业A和企业B转移至企业C的利润之和为220000元,那么,边际税率始终是均衡的,企业集团的税收负担也是最小的。

我们首先来看看我们所列举的均衡状态下各企业的税收负担情况以及整个企业集团的税收负担情况。

企业A利润转移20000元至企业C后,剩余利润为:

250000-20000=230000元

企业A应纳所得税额为:

200000×15%+(230000-200000)×20%=36000元

企业A的税收负担率为:

企业B转移200000元利润至企业C后,剩余利润为:

300000-200000=100000元

企业B应纳所得税额为:

100000×18%=18000元

企业B的税收负担率为:

企业C接受企业A、B的利润后,利润额为:

80000+20000+200000=300000元

企业C应纳所得税额为:

100000×5%+(200000-100000)×10%+(300000-200000)×15%=30000元

企业C的税收负担率为:

整个企业集团的应纳税额为:

36000+18000+30000=84000元

整个企业集团的税收负担率为:

和利润转移前相比,关联企业作为一个整体,税收负担额由104000元减少至84000,绝对额减少20000元。税收负担率由16.5%下降至13.3%,下降3.2个百分点。不过,对各企业来说,税收负担的分布也发生了一定的变化。具体来说,转出利润的企业,税收负担率下降,而接受利润的企业,税收负担率上升。

下面我们再来分析一种其它表现形式的边际均衡状态。比如说,企业B转移170000元利润至企业C,企业A转移50000元利润至企业C,这时,

企业A剩余利润为:

250000-50000=200000元

企业A应纳税额为:

200000×15%=30000元

企业A税收负担率为15%。

企业B剩余利润为:

300000-170000=130000元

企业B应纳税额为:

100000×18%+(130000-100000)×20%=24000元

企业B税收负担率为:

企业C应税所得额为:

80000+50000+170000=300000元

企业C应纳税额为:

100000×5%+(200000-100000)×10%+(300000-200000)×15%=30000元

企业C税收负担率为:

整个企业集团的应纳税额为:

30000+24000+30000=84000元

整个企业集团的税收负担率为:

和第一种均衡状态相比较,整个企业集团的税收负担额和税收负担率均没有发生变化。所不同的是,均衡的边际税率发生了变化,由原来的20%、18%和15%变成了15%、20%和15%。同时,企业A的利润额(包括税前和税后)增加了,企业B的利润额(包括税前和税后)减少了。

可见,边际税率的均衡状态,可以有多种表现形式。利润的转移,也可以在一定区间范围内进行(见表9-3-9)。这并不影响整个企业集团的税收负担。

表9-3-9 关联企业利润转移区间及均衡边际税率

假如利润的转移在技术上是完全可行的(例如,不遭到税务机关干扰,或是关联企业间有足够金额的经济往为),那么,企业集团到底会选择哪一种边际税率均衡状态呢?实际上,虽然在不同均衡状态下,企业集团的税收负担并不发生变化,但是,关联企业各成员的所得利益却存在很大差别。因此,选择哪一种边际税率均衡状态,主要取决于企业集团内部的利润分配政策。

在我们所举的利润转移例子中,我们始终假定关联企业各成员适用于不同的税率表计税。这种情况在国际避税条件下的确是普遍存在的,即使关联企业各成员为内资企业,各企业适用不同税率表也是可能的。

接下来,我们要考虑的是,若关联企业各成员适用于同一税率表计税,利润的转移能否降低企业集团的税收负担。这里,我们分二种情况进行讨论。

第一种情况是,企业所得税按超额累进税率计税。这种情况,同样适用于我们上面所述的“边际税率均衡”原理。即只要各关联企业之间的边际税率处于非均衡状态,那么,利润转移就有助于降低企业集团的税收负担。例如,企业甲、乙为关联企业,适用于同一所得税法,按税法规定,企业所得税税率表如下表9-3-10。

表9-3-10 某所得税税率表

若企业甲所得额为25000元,企业乙所得额为28000元,则它们适用的边际税率相等,利润转移对避税并没有意义。若企业乙所得额不是28000元,而是55000元,则其适用的边际税率上升到40%,高于企业甲适用的边际税率20%。于是,有必要使一部分利润从企业乙转移到企业甲,利润转移前企业甲应纳税额为:

10000×10%+(20000-10000)×15%+(25000-20000)×20%=3500元

企业甲的税收负担率为:

企业乙的应税额为:

10000×10%+(20000-10000)×15%+(30000-20000)×20%+(40000-30000)×25%+(50000-40000)×30%+(55000-50000)×40%=12000元

企业乙的税收负担率为:

企业集团的应纳税额为:

3500+12000=15500元

企业集团的税收负担率为:

利润从企业乙转移15000元至企业甲后,企业乙的应税所得额减少为40000,边际税率为25%,企业甲的利润增加至40000元,边际税率也为25%,二者边际税率达到均衡状态。这时,企业甲、乙应纳税额均为:

10000×10%+(20000-10000)×15%+(30000-20000)×20%+(40000-30000)×25%=7000元

企业集团应纳税额为:

7000×2=14000

企业集团的税收负担率为:

可见,利润转移后,企业的税收负担减轻了。

第二种情况是,企业所得税按比例税率计税。在比例课税条件下,利润在关联企业间进行转移有无避税意义,取决于税法中是否存在起征点或是免征额的规定,以及各关联企业利润的分布情况

起征点是课税对象达到一定的数额开始征税的起点。达到起征点的全部课税对象(包括起征点以下的部分)都要征税。例如,某所得税规定,起征点为5000元,税率为33%。纳税人甲所得4500元,对甲的所得不征税,纳税人乙所得5500元,应纳所得税额为:

5500×33%=1815元

一般认为,起征点是对低所得一种特别照顾。

免征额是课税对象中免于征税的数额。为了对一定的纳税人和课税对象有所照顾,在某些税种中规定,对于课税对象中的一定数额予以免征,这个免征数额就是免征额。免征额不同于起征点,起征点要求达到起征点的按全部课税对象征税,免征额则要求在征税时,只就其超过的部分征税,而对于免征数的部分不征税。例如,某所得税规定,免征额为5000元,税率为33%。纳税人甲所得额为4500元,免征所得税。纳税人乙所得额为5500元,只就超过5000元的部分征税,即应纳税额为:

(5500+5000)×33%=165元

可见,免征额不仅照顾了低所得额者,同时也照顾了高所得额者。也就是说,免征额对一定数量的课税对象的普遍照顾。

在同一税种中,只能用起征点,或用免征额。起征点和免征额与一般的税收减免不同之处在于,起征点和免征额是对符合规定的纳税人的一种普遍性和长期性的减免。一般性减免,常常是针对特殊情况的减免。

首先,我们来分析纳税人是如何运用起征点进行避税的,若企业甲、乙为关联企业,并适用于同一所得税法。所得税税率为33%,企业甲所得额为18000元,企业乙所得额为20000元。按税法规定,所得税起征点为10000元。在不存在利润转移条件下,企业甲和企业乙的所得额均超过起征点,企业甲应纳税额为:

18000×33%=5940元

企业乙应纳税额为:

20000×33%=6600元

企业集团应纳税额为;

5940+6600=12540元

企业集团的税收负担率为:

若关联企业甲、乙间发生利润转移,从企业甲转移8001元利润至企业乙,则企业甲应税所得额为:

18000-8001=9999元

企业甲的所得额达不到起征点,不需交纳所得税。

企业乙的应税所得额为:

20000+8001=28001元

企业乙应纳税额为:

28001×33%=9240.3元

企业集团应纳税额为:

0+9240.3=9240.3元

企业集团的税收负担率为:

和利润转移前相比,企业集团的税收负担额由12540元减少到9240.3元,绝对额减少3299.7元。税收负担率由33%下降到24.3%,下降近9个百分点。

我们假定的是利润从企业甲转移到企业乙。实际上,利润也可以从企业乙转移到企业甲,转移额应当是10001元。这对于企业集团来说,可以达到同样的避税效果(无论是在税收负担额的减少还是税收负担率的下降方面)。所不同的是,关联企业内部各成员间的利润分配关系发生了变化。

在上例中,企业甲、乙的利润均已达到了起征点。倘若企业甲、乙中有某个企业的所得额在起征点下,也存在着运用利润转移法进行避税的可能。假定上例中的其他条件不变,企业甲所得额为1000元,企业乙所得额为30000元。在不存在利润转移的条件下,企业甲的应税所得额在起征点以下,不需要交纳所得税。企业乙的应税所得额超过了起征点,应纳税额为:

30000×33%=9900元

企业集团的应纳税额为:

0+9900=9900元

企业集团的税收负担率为:

若关联企业甲、乙之间发生利润转移,从企业乙转移8999元至企业甲,那么,企业甲的应税所得额增加到9999元。不过,它仍达不到起征点,仍不需要交纳所得税。这时,企业乙的应税所得额为:

30000-8999=21001元

企业乙应纳所得税额为:

21001×33%=6930.3元

企业集团的税收负担额为:

0+6930.3=6930.3

企业集团的税收负担率为:

和利润转移前相比,企业集团的税收负担额由9900元减少到6930.3元,绝对额减少2969.7元。税收负担率由31.9%下降到23.1%,下降了近9个百分点。

运用起征点进行避税,和关联企业间利润的分布状况密切相关。若关联企业的应税所得额均达到了起征点,企业集团将设法尽可能使其中的一个关联成员或一个以上的关联成员的利润降低至起征点之下,若关联企业的一个或一个以上成员的应税所得额在起征点下,企业集团将设法尽可能使应税所得额达不到起征点的关联成员利润接近,但不达到起征点。这样,对整个企业集团来说,其税收负担额将是最小的,税收负担率将是最低的。

其次,我们来看看纳税人是如何运用免征额进行避税的,若企业甲、乙为关联企业,企业甲所得为5000元,企业乙所得为60000元。企业甲、乙适用于同一税法课税,税率为33%,免征额为10000元。若不存在利润转移,企业甲所得处于免征额范围,无需课税。企业乙应纳所得税为:

(60000-10000)×33%=16500元。

企业集团的应纳税额为:

0+16500=16500元

企业集团的税收负担额为:

若利润众企业乙转移至企业甲,转移额为5000元,则企业甲的所得额仍处于免征额范围,仍无需交纳所得税,而企业乙的利润减少为55000元,应纳税额为:

(55000-10000)×33%=14850元

企业集团的应纳税额为:

0+14850=14850元

企业集团的税收负担率为:

利润转移后,企业集团的税收负担额减少了1650元,税收负担率降低了2.3%。

运用起征点和免征额进行避税,在原理上有其相似之处;若关联企业中存在所得额在起征点或免征额以下的成员,那么,其它成员的利润向这些所得额在起征点或免征额以下的成员转移都具有避税意义。不同之处在于,若关联企业各成员的所得额均在起征点或免征额以上,那么,起征点的存在提供了避税条件,而免征额的存在,并没有提供避税条件。

倘若税法中根本不存在起征点或免征额的规定,那么,在比例课税条件下,利润的转移并不能使企业集团的税收负担下降,因此,不具有避税意义。

在上面的分析中,我们从纯理论角度讨论了利润转移法避税的基本原理。在实践中,问题要复杂得多。首先遇到的是,利润是如何从一个关联企业转移至另一个关联企业的。其次是,这种转移是否会受到政府或是税务机关的干预。

第一个问题实际上是寻找利润转移的方法。总的来说,关联企业间的利润转移是通过关联企业内部的经济交往,其中主要是收入和费用的不正常分配来进行的,这就是通常所说的“转让定价”。具体作法包括以下几方面:

(1)收入和费用的转让定价。关联企业之间的原材料供应、产品销售实行“低进高出”或“高进低出”的办法,将收入转移到边际税率低的关联企业,而把费用转移到边际税率高的关联企业。

(2)劳务收入转让定价。关联企业之间经常发生内部互相提供劳务的业务。按什么标准收取劳务费,也会影响到关联企业的利润水平。边际税率低的关联企业向边际税率高的关联企业提高劳务收费标准,可使一部利润发生转移。或是边际税率高的关联企业向边际税率低的关联企业降低劳务收费标准,也可使一部分利润发生转移。

(3)有形资产的转让定价。关联企业间发生有形资产租赁时,其租金率的高低直接影响到关联企业的利润水平。

(4)无形资产转让定价。关联企业内部常发生转让专有技术、专有权等业务。专有技术、专有权转让按什么标准收取特许权使用费,也会影响关联企业的利润水平。

(5)贷款利息收入的转让定价。关联企业间发生贷款业务时,可以通过提高或降低贷款利率,从而提高或降低取得贷款企业的产品成本,转移部分利润。

第二个问题实际上是政府或税务机关对纳税人进行利润转移的防范问题。从法律方面讲,关联企业间通过转让定价来进行利润转移,并不违法。

税务机关对关联企业内部转让定价的防范,其基本原则是独立核算原则。这一原则把有关联关系的企业当作各自互不隶属或受控制的独立企业,完全按照无关联企业那样开展自由竞争和经过“讨价还价”的方式来处理它们之间的内部交易业务。具体来说,包括以下几方面。

(1)对收入和费用的转让定价,按照独立核算原则,关联企业所有的内部交易都应按照“公平交易”原则进行核算。如果关联企业以“高进低出”或“低进高出”的方法把收入与费用在不同边际税率的企业之间进行转移,税务机关通常按以下几种方式重新核算其利润征税。

①比照不被控制的价格法。将彼此没有受控的买主和卖主就其某种商品达成的销售价作为关联企业之间同类产品的交易的比照价格。

②转售价格法。将买主向没有特殊关系的企业第二次出售产品时所采用的价格减去提价百分率作关联企业的交易价,提价百分比必须根据无关联企业之间的交易来订立。

③成本利润法。将卖主商品的成本价加上正常的利润额作为关联企业的交易价。

(2)对劳务收入的转让定价,独立核算原则要求关联企业之间相互提供劳务时,一方应收取劳务收入,另一方则要支付劳务费。收取的标准,应等于从事此项服务的有关一方实际发生的成本或费用额。如果关联企业一方属于专门提供劳务的企业,其收取的劳务费应在实际费用成本的基础上加上合理利润。

(3)对有形资产的转让定价,独立核算原则要求关联企业按各自独立处理和公平租费标准收费。

(4)无形资产转让定价,独立核算原则要求关联企业之间相互转让专有技术、专有权等所取得的专有技术使用费应和与非关联企业的交易价格大体一致。原则上对无形资产的特许权使用费一般要求包括利润在内。

(5)对贷款利息转让定价,独立核算原则要求应以一般市场利息率,即彼此没有关系的双方在独立进行的业务往来中按时收取利息的利率作为关联企业之间贷款利息率。

总的来说,关联企业之间的转让定价,必须坚持独立核算原则,否则,税务机关有权按规定对企业利润重新加以调整征税。过去,我国税法中对国内避税的防范并没有作出明确的规定,这不能不说是税法的一个重大缺陷,1991年4月9日通过《中华人民共和国外商投资企业和外国企业所得税法》第十三条规定,“外商投资企业或者外国企业在中国境内设立的从事生产、经营的机构、场所与其关联企业之间的业务往来,应当按照独立企业之间的业务往来收取或支付价款、费用。不按独立企业之间的业务往来收取或支付价款、费用,而减少其应纳税所得额的,税务机关有权进行合理调整”。这一规定主要是为防范外商投资企业进行国际避税而作出的。1993年12月13日国务院颁布的《中华人民共和国企业所得税暂行条例》第十条明确规定,“纳税人与其关联企业之间业务往来,应当按照独立企业之间的业务往来收取或支付价款、费用。不按独立企业之间的业务往来收取或支付价款、费用,而减少其应纳税所得额的,税务机关有权进行合理调整”。这一规定首次为防范国内避税提供了依据。

在本节中,我们探讨利润转移法避税,主要是就关联企业来说的。需要指出的是,这一原理同样适用于个人所得税的避税。实际上,在很多情况下,个人所得也常常发生转移,从一个纳税人转移到另一个纳税人,或从本期收入转移到下期收入,以达到避税目的。

随便看

 

离鸟网收录3541549条中英文词条,其功能与新华字典、现代汉语词典、牛津高阶英汉词典等各类中英文词典类似,基本涵盖了全部常用中英文字词句的读音、释义及用法,是语言学习和写作的有利工具。

 

Copyright © 2004-2024 vtrois.com All Rights Reserved
更新时间:2026/4/21 9:13:43