网站首页  词典首页


请输入您要查询的字词:

 

字词 磷酸单邻联苯二苯酯
类别 中英文字词句释义及详细解析
释义

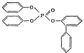
磷酸单邻联苯二苯酯


【结构式】:

【释文】:

性质 浅色明亮液体。分子量402。酸度(以磷酸计)<0.05%。相对密度1.228(20℃)。粘度30~55厘泊(60℃)。凝固点-7.5℃。沸点220~290℃(2毫米汞柱)。闪点(开杯法)225℃。着火点>400℃。挥发度0.3%(100℃,10小时)。表面张力41.7达因/厘米(60℃)。膨胀系数7.2×10-4/℃。折光率1.582~1.590(60℃)。可溶于许多普通溶剂,不溶于水。

用途 本品为阻燃性增塑剂,挥发性比TCP小,毒性低,阻燃性和电性能好,主要用于醋酸纤维素、硝酸纤维素和乙基纤维素。

国外商品名

随便看

 

离鸟网收录3541549条中英文词条,其功能与新华字典、现代汉语词典、牛津高阶英汉词典等各类中英文词典类似,基本涵盖了全部常用中英文字词句的读音、释义及用法,是语言学习和写作的有利工具。

 

Copyright © 2004-2024 vtrois.com All Rights Reserved
更新时间:2026/4/21 11:50:14