网站首页  词典首页


请输入您要查询的字词:

 

字词 磷素的功能与转化
类别 中英文字词句释义及详细解析
释义

磷素的功能与转化


磷素的生理功能和在土壤中转化,是合理施用磷肥的理论依据。

1.磷素的生理功能 磷素(P2O5)占作物干重的0.2—1.1%,是作物体内核酸、核蛋白、磷脂、植素、磷酸腺甙和酶的组成,并参与作物体内各种代谢。

(1)核酸与蛋白质化合形成核蛋白 它是细胞核和原生质的主要成分,多分布在幼叶、新芽、根尖等生长点部位,担负着细胞增殖和遗传变异功能。

(2)磷脂与蛋白质结合形成膜质结构 它是作物体生化作用的场所;磷脂既具有亲水性又具有疏水性,增强了细胞的渗透性;磷脂又是两性化合物既含有酸性基又含有碱性基,扩大酸碱度的调节,促进了作物抗盐碱能力。

(3)植素是种子中磷的一种贮存形式 种子中植素含量高,种子质量就好,出芽生根速度快。植素的积累使组织中无机磷浓度降低,也有利于生育后期淀粉的积累。

(4)磷酸腺甙、酶和无机态磷 磷酸腺甙是作物体内能量贮存和供应的中转站。酶与磷酸钙、镁、钾等无机盐参与作物体内淀粉、糖、油脂的合成,碳水化合物的运转以及各种生物代谢。此外,磷能促进根系生长和增加作物体内可溶性糖的含量,从而增强作物的抗旱和抗寒性。

2.磷素缺乏症状 作物缺磷的症状不象缺氮那样明显,潜在缺磷阶段从外观上也难以诊断。只是当缺磷严重时,在田间可见到:水稻出现“僵苗”、“坐蔸”,小麦形成“小老苗”,玉米果穗秃顶增多,油菜脱荚,果树花果脱落,薯类作物的薯块变小和耐贮藏性差。

作物严重缺磷时,植株内碳水化合物转移受阻,糖类在叶片中积累增加,形成较多的花青素。如玉米、番茄和油菜等茎叶上,可明显地呈现紫红色的条纹或斑点,甚至枯死。禾谷类作物缺磷,分蘖、抽穗、开花和成熟延迟;水稻叶片直立,叶色浓绿,下部叶片叶尖枯萎,呈黄褐色。

作物缺磷的临界期多在苗期。苗期缺磷,作物整个生育期都会受到影响,即使后期施磷也不能补偿。所以,严重缺磷的土壤,播种时施足磷肥特别重要。磷肥施用过量,也不象氮肥那样敏感,但会造成浪费,有时作物会发生早衰。

3.磷素在土壤中的形态 我国土壤的全磷(P2O5)含量多在0.05—0.30%范围,分布规律是从南往北逐渐增加。图3表示土壤磷素分类,按其化学结构分为有机态磷和无机态磷;按其溶解度的大小,分为难溶性磷、枸溶性磷、水溶性磷。

图3 土壤中磷的动态变化

(1)水溶性磷 如磷酸一钙Ca(H2PO4)2、磷酸二氢钾KH2PO4等,溶于水,易被作物吸收利用,但数量少又极不稳定。

(2)枸溶性磷 溶于弱酸,不溶于水,如磷酸二钙CaHPO4、磷酸二镁MgHPO4等。它们多分布在接近中性的土壤中,易被作物根部分泌物溶解,转化为水溶性磷酸盐。

(3)难溶性磷 只能溶于强酸,如氟磷灰石Ca10(PO4)6·F、氯磷灰石Ca(PO4)·Cl2、以及一些结构较简单的磷酸三钙Ca3(PO4)2、磷酸铁FePO4等。它们是土壤无机态磷的主要成分,作物很难吸收。

土壤水溶性磷和枸溶性磷,称为土壤有效性磷,其含量约占土壤全磷1%。土壤熟化程度越高,有机肥与磷肥用量越大,土壤有效性磷含量也越多。

4.磷素在土壤中转化 在一定条件下土壤有效性磷可转变为难溶性磷,也称为磷的固定,其有效性下降;难溶性磷也可转变为有效性磷,称为磷的释放,其有效性提高。

(1)磷的固定 磷在酸性土、中性土和碱性土中的固定程度不一样。

①磷在酸性土中的固定:磷酸一钙等水溶性磷肥主要被土壤中铁、铝固定,生成难溶性的磷酸铁和磷酸铝(A1PO4)。南方酸性水田中磷酸铁含量占无机态磷含量70%以上,其中相当大部分被氧化铁胶膜包裹为“闭蓄态磷”,溶解度降低,作物不易吸收。

②磷在中性土中的固定:水溶性磷大部分与土壤中钙离子结合成磷酸二钙,另一部分与土壤中镁离子生成磷酸二镁。磷酸二钙经很长时间,其中少部分会逐渐转变为溶解很小的磷酸八钙和无水磷酸二钙。

③磷在石灰质碱性土中的固定:土壤有效磷会加速形成磷酸八钙Ca8H2(PO4)6·5H2O,经过很长时间,其中少部分会生成稳定的氢氧磷灰石Ca10(PO4)6·(OH)2。此外,土壤有效磷的一部分还会被微生物暂时固定。

土壤有效磷在接近中性的石灰性土壤中比较稳定。它主要被固定成磷酸二钙,吸附在土粒表面,细度很高,较易被土壤中的酸性物质转化为磷酸一钙。

(2)磷的释放 土壤有机质、水分的含量以及酸碱度对磷的释放有较大影响。

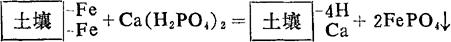
①土壤有机质的影响:有机质为微生物提供“食物”,促进磷细菌繁殖,加强土壤中难溶性磷分解为有效磷。土壤有机质在分解过程中产生的二氧化碳和有机酸类物质,有利于磷的释放,还能够和土壤中的活性铁、铝等形成络合物,减少对磷的固定。下面举一例子:

②土壤水分的影响:土壤水分适宜有利于磷酸盐的水解。酸性土壤在淹水状况中,pH值提高,还原性增强,一部分“闭蓄态磷酸铁”还原为“非闭蓄态磷酸铁”,磷的有效性提高;在落干期间,土壤有效磷下降。

③土壤酸碱度的影响:接近中性的土壤不仅有效磷比较稳定,而且是土壤微生物生长的良好环境。因此,酸性土壤加入适量的石灰,而碱性土壤加入磷石膏中和,既能减少土壤有效磷的固定,又有利于难溶性磷的释放。

从施肥方面考虑,磷肥的适度固定虽然降低当季的肥效,然而也有积极的一面,即减少磷素的淋溶等损失,保持其较强的后效。促进磷的释放措施,等于降低磷的固定,反之也是。所以,增施有机肥和改善土壤理化性质,是提高磷肥肥效的途径之一。

随便看

 

离鸟网收录3541549条中英文词条,其功能与新华字典、现代汉语词典、牛津高阶英汉词典等各类中英文词典类似,基本涵盖了全部常用中英文字词句的读音、释义及用法,是语言学习和写作的有利工具。

 

Copyright © 2004-2024 vtrois.com All Rights Reserved
更新时间:2026/4/19 21:31:37