网站首页  词典首页


请输入您要查询的字词:

 

字词 碳当量
类别 中英文字词句释义及详细解析
释义

碳当量


把碳钢和低合金钢中的合金元素(包括碳)含量按其对淬硬、冷裂的影响程度换算成碳的相当含量的总和叫碳当量.它可作为评定碳钢和低合金钢焊接性的一种参考指标.

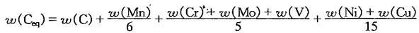
国际焊接学会(IIW)推荐的碳当量公式如下:

式中化学元素符号都表示该元素在钢中的质量分数.在计算碳当量时,元素含量都取其成分范围的上限.

根据一般经验,碳当量ω(Ceg)<0.4%时,淬硬倾向校焊接性良好,焊接时一般不需要预热;ω(Ceg)=0.4%~0.6%时,淬硬倾向较大,焊接性较差,一般需要预热;ω(Ceg)>0.6%时,淬硬倾向严重,焊接性差,需要较高的预热温度和严格的工艺措施.

随便看

 

离鸟网收录3541549条中英文词条,其功能与新华字典、现代汉语词典、牛津高阶英汉词典等各类中英文词典类似,基本涵盖了全部常用中英文字词句的读音、释义及用法,是语言学习和写作的有利工具。

 

Copyright © 2004-2024 vtrois.com All Rights Reserved
更新时间:2026/4/20 20:24:09