网站首页  词典首页


请输入您要查询的字词:

 

字词 硫酸软骨素钠
类别 中英文字词句释义及详细解析
释义

硫酸软骨素钠


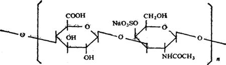
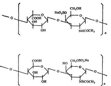
结构式

主要成分 本品是从哺乳动物或鱼类软骨中抽提出来精制而得。硫酸软骨素是含有相等mol的葡萄糖醛酸、N-乙酰半乳糖胺和硫酸的多糖类。

性能 白色至灰白色粉末,无味,无臭。有吸湿性,可吸收16~17%水分。易溶于水,难溶于丙酮、乙醇等有机溶剂。水溶液粘稠状,添加酸或碱则粘度降低。有离子交换性,可与阳离子形成各种金属盐而发生沉淀。用5N盐酸于37℃经3h水解,失去硫酸或软骨素。

毒性:LD5。≥10g/kg(大鼠,经口)。无毒。

质量规格 (JSCI-Ⅱ;日本,1983)

用途 可用于化妆品的膏霜、蜜、奶液、香波等护肤及护发的产品中,以保持皮肤、头发的水分。滋润皮肤、头发,增加光泽。还能防止皮肤皲裂及皱纹的产生。也可用作乳化剂。

随便看

 

离鸟网收录3541549条中英文词条,其功能与新华字典、现代汉语词典、牛津高阶英汉词典等各类中英文词典类似,基本涵盖了全部常用中英文字词句的读音、释义及用法,是语言学习和写作的有利工具。

 

Copyright © 2004-2024 vtrois.com All Rights Reserved
更新时间:2026/4/20 5:06:49