网站首页  词典首页


请输入您要查询的字词:

 

字词 硫酸根的测定
类别 中英文字词句释义及详细解析
释义

硫酸根的测定


(一)硫酸钡重量法(烘干)

1.原理 样品溶液调至弱酸性,加入氯化钡,生成三硫酸钡沉淀经过滤、洗涤、干燥、称重,计算含量。

2.适用范围 工业盐、食用盐、氯化钾、氯化镁、卤水、无水硫酸钠。

3.测定手续 吸取100.0ml样品溶液(含硫酸根10~150mg)于烧杯中,加50ml水,2滴0.2%甲基红,滴加2mol/L盐酸至溶液呈红色,加热至近沸,迅速加入40m0.02mol/L氯化钡热溶液,搅拌2~3min,再加少许氯化钡溶液,检查沉淀是否完全,用已于120工2℃恒重的4号玻璃坩埚抽滤,沉淀移入坩埚并洗涤,然后置电烘箱中于120±2℃烘1h取出,在干燥器中冷至室温称量,直至恒重。

4.计算

式中 G1——玻璃坩埚加硫酸钡质量(g)

G2——玻璃坩埚质量(g)

W——所取样品质量(g)

0.4116——硫酸钡换算为硫酸根的系数

(二)硫酸钡重量法(灼烧)

1.原理 样品溶液中加入氯化钡,生成硫酸钡,经沉淀、过滤、洗涤、灼烧后称量,计算含量。

2.适用范围 同烘干重量法。

3.测定手续 吸取100.0ml样品溶液(含硫酸根10~150mg)于烧杯中,加50ml水,2滴甲基红,滴加2mol/L盐酸至溶液呈红色,加热至近沸,迅速加入40ml 0.02mol/L氯化钡溶液,搅拌2~3min,检查是否沉淀完全,用定量滤纸过滤、洗涤,将沉淀连同滤纸放在已恒重的坩埚中低温灰化,然后在高温炉中于800±20℃灼烧1h,在干燥器中冷至室温称重。

4.计算 同烘干重量法

(三)络合滴定法

1.原理 样品溶液中硫酸根与氯化钡生成硫酸钡沉淀,过剩钡离子用EDTA标准溶液滴定,间接测定硫酸根含量。

2.适用范围 工业盐、食用盐、氯化钾、氯化镁、卤水。

3.测定手续 吸取10.00ml样品溶液(含硫酸根2~15mg),加1滴1mol/L盐酸,5.00ml 0.02mol/L氯化钡溶液,搅拌片刻,静置10min,加入5ml Mg-EDTA溶液,10或15ml无水乙醇(占总体积约30%),5ml氨性缓冲溶液,4滴0.2%铬黑T指示液,用0.02mol/L EDTA标准溶液滴定呈亮蓝色。另取10.00ml试液测定钙、镁离子总量。

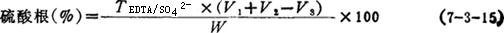
4.计算

式中 V1——滴定5.00ml氯化钡溶液EDTA标准溶液的用量(ml)

V2——滴定钙、镁离子总量EDTA标准溶液的用量(ml)

V3——测定硫酸根EDTA标准溶液的用量(ml)

TBDTA/SO42-——EDTA标准溶液对硫酸根的滴定度(g/ml)

W——所取样品质量(g)

注:硫酸根含量大于0.6%时,氯化钡及Mg-EDTA的加入量加倍。

随便看

 

离鸟网收录3541549条中英文词条,其功能与新华字典、现代汉语词典、牛津高阶英汉词典等各类中英文词典类似,基本涵盖了全部常用中英文字词句的读音、释义及用法,是语言学习和写作的有利工具。

 

Copyright © 2004-2024 vtrois.com All Rights Reserved
更新时间:2026/4/20 14:38:58