网站首页  词典首页


请输入您要查询的字词:

 

字词 硅钼棒电热元件
类别 中英文字词句释义及详细解析
释义

硅钼棒电热元件


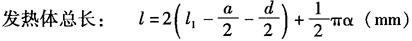
硅钼棒电热元件是由二硅化钼粉用粉末冶金方法经挤压成形,高温烧结而成。根据其外形可分为“U”形棒和直形棒两种。棒的两端较粗的是冷端,端头喷铝为连接部分,以安装导电接线夹;棒的中间较细为热端,是发热部分。冷端一端头磨成锥形后与热端采用氩弧焊焊成一体。

硅钼棒的尺寸如图10-1所示。

图10-1 硅钼棒尺寸

图中d、D与a的规格范围如表10-6所示。

表10-6 d、D与a的规格范围

1.硅钼棒电热元件规格

硅钼棒电热元件的规格列于表10-7。

表10-7 直径6/13mm(a=50mm)硅钼棒规格(电流130A)

注:表中尺寸单位均为mm,电阻、电压和功率单位分别为Ω、V和W;炉内温度1500℃。表面负荷12W/cm2,元件热端温度1625℃。冷端平均温度800℃。

表10-8 直径9/18mm(a=60mm)硅钼棒规格(电流238A)

2.硅钼棒使用注意事项

(1)硅钼棒加热元件用于电炉时,其安装方法有垂直吊挂和水平安装两种。在一般情况下,硅钼棒元件用于电炉中时多为垂直吊挂。当需要水平安装时,电炉连续使用最高工作温度不得超过1550℃。

(2)当元件在400~800℃温度范围内长期使用时,会破坏元件表面的石英玻璃层而使元件发生低温氧化,因而不能在此温度长期使用。

随便看

 

离鸟网收录3541549条中英文词条,其功能与新华字典、现代汉语词典、牛津高阶英汉词典等各类中英文词典类似,基本涵盖了全部常用中英文字词句的读音、释义及用法,是语言学习和写作的有利工具。

 

Copyright © 2004-2024 vtrois.com All Rights Reserved
更新时间:2026/4/20 16:33:05