网站首页  词典首页


请输入您要查询的字词:

 

字词 砷的测定(GB/T 5009.11—1996)
类别 中英文字词句释义及详细解析
释义

砷的测定(GB/T 5009.11—1996)


(一)银盐法

1.原理

样品经消化后,以碘化钾、氯化亚锡将高价砷还原为三价砷,然后与锌粒和酸产生的新生态氢生成砷化氢,经银盐溶液吸收后,形成红色胶体,与标准系列比较定量。

2.试剂

(1)15%碘化钾溶液:称取15g碘化钾(优级纯或分析纯)用蒸馏水溶解,最后稀释成100mL,保存在棕色瓶中。

(2)40%氯化亚锡溶液:称取40g氯化亚锡(SnCl2·2H2O,优级纯或分析纯),用浓盐酸溶解成100mL,加入数粒金属锡粒,配制要在通风柜中进行。

(3)10%乙酸铅溶液。

(4)乙酸铅棉花:用10%乙酸铅溶液浸透脱脂棉花,压除多余溶液,并使疏松,在100℃以下干燥后,贮于玻璃瓶中。

(5)无砷锌粒。

(6)DDC-Ag-三乙醇胺-三氯甲烷溶液:称取0.25g二乙氨基二硫代甲酸银(简称DDCAg)于研钵中,加少量三氯甲烷研磨,移入100mL量筒中,加入1.8mL三乙醇胺,再用三氯甲烷分次洗涤研钵,洗液一并移入量筒中,再用三氯甲烷稀释至100mL,放置过夜。滤入棕色瓶中贮藏。

(7)20%氢氧化钠溶液。

(8)10%硫酸:量取5.7mL硫酸加入80mL水中,冷后加入水稀释至100mL。

(9)砷标准溶液:精确称取0.1320g在硫酸干燥器中干燥过的或在100℃干燥2h的三氧化二砷,加20%氢氧化钠溶液5mL,溶解后加10%硫酸25mL,移入1000mL容量瓶中,加新煮沸冷却的水稀释至刻度,贮藏于棕色玻璃瓶中。此溶液每毫升相当于0.10mg砷。

(10)砷标准使用液:吸取1.0mL砷标准溶液,置于100mL容量瓶中,加10%硫酸1mL,加水稀释至刻度,此溶液每毫升相当于1.0μg砷。

3.仪器

(1)分光光度计。

(2)砷化氢吸收装置如图4-2-5。

图4-2-5 砷化氢吸收装置图

1-150mL锥形瓶 2-导气管 3-乙酸铅棉花 4-10mL刻度离心管

(3)100~150mL锥形瓶:19号标准口。

(4)导气管:管口19号标准口或经碱处理后洗净的橡皮塞与锥形瓶密合时不应漏气。管的另一端管径为1.0mm。

(5)吸收管:10mL刻度离心管作吸收管用。

4.操作方法

(1)样品消化、硝酸-硫酸法:同铅测定中的“双硫腙比色法”4.(1)。

(2)测定、吸取一定量的消化液后的定容溶液(相当于5g样品),及同量的试剂空白液,分别置于150mL锥形瓶中,补加硫酸至总量为5mL,加水至50~55mL。

吸取0.0、2.0、4.0、6.0、8.0、10.0mL砷标准溶液(相当于0、2、4、6、8、10μg砷),分别置于150mL锥形瓶中,加水至40mL,再加1∶1硫酸10mL。

于样品消化液、试剂空白液及砷标准溶液中各加15%碘化钾溶液3mL、酸性氯化亚锡溶液0.5mL,混匀,静置15min。各加3g锌粒,立即分别塞上装有乙酸铅棉花的导气管,并使管尖端插入盛有银盐溶液4mL的离心管中的液面下,在常温下反应45min后,取下离心管,加三氯甲烷补足4mL。用1cm比色杯,以零管调节零点,于波长520nm处测吸光度,绘制标准曲线比较。

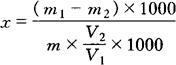
5.计算

式中 x——样品中砷的含量(mg/kg或mg/L);

m1——测定用样品消化液中砷的质量(μg);

m2——试剂空白液中砷的质量(μg);

m——样品质量(体积)[g(mL)];

V1——样品消化液的总体积(mL);

V2——测定用样品消化液的体积(mL)。

结果表述:报告算术平均值的两位有效数。

允许差:相对相差≤10%。

6.注意事项

(1)氯化亚锡(SnCl2)试剂不稳定,在空气中能被氧化后失去还原作用。配制时,加入数粒无砷锡粒,经持续反应生成氯化亚锡,新生态氢具还原性,以保持溶液中稳定的还原性。

氯化亚锡作用是还原As5+成As3+以及在锌粒表面沉积锡层以抑制产生氢气作用过猛。

(2)乙酸铅棉花,应使之膨松地塞入导气管中,是为了吸收可能产生的硫化氢,使其生成硫化铅而滞留在棉花上,以免吸收液吸收产生干扰,因硫化氢与Ag+生成黑色的硫化银。

(3)不同形状、规格的无砷锌粒的表面积不同,与酸反应生成氢气的速度不同,将影响砷化氢的吸收率和测定结果。所以用蜂窝状锌粒3g或大颗粒锌粒5g为宜,要尽可能使锌粒在标准系列及样品测定中的平行性。

(4)样品消化液中残余的硝酸要尽量除尽,否则影响反应与显色,使结果偏低。

(5)砷化氢发生及吸收应防止在阳光直射下进行,同时控制温度在25℃左右,防止反应过激或过缓,作用时间以1h为宜,夏季45min为宜,显色后150min内稳定,室温高时,氯仿挥发,在比色前氯仿补足4mL,并不影响结果。

(6)吸收液中含有水分时,当吸收与比色环境的温度改变,会引起轻微混浊,比色时可微温使之澄清。

(7)吸收管内径8~9mm,使4mL吸收液的液柱高度在6cm以上,以保证吸收完全。

(二)砷斑法

1.原理

在酸性条件下,用碘化钾、氯化亚锡将五价砷还原为三价砷,然后与锌粒和酸作用产生的新生态氢生成砷化氢,当砷化氢气体碰到溴化汞试纸片时,根据不同的含砷量而生成由黄色至橙色的砷斑。砷斑颜色的深浅与砷的含量成正比,可根据颜色的深浅比色定量。

2.试剂

(1)同砷的测定中“银盐法”2.(1)~(5),2.(7)~(10)。

(2)5%溴化汞-乙醇溶液。

(3)溴化汞试纸:将剪成直径2cm的圆形滤纸片,在5%溴化汞乙醇溶液中浸泡1h以上,保持于冰箱中,临用前取出置于暗处阴干备用。

3.仪器

砷斑法测定器:图4-2-6。

图4-2-6 砷斑法测定器

1-锥形瓶 2-橡皮塞 3-测砷管 4-管口 5-玻璃帽

测砷管的较粗处装膨松适当的乙酸铅棉花5~6cm。在测砷管上顶端磨口面和玻璃帽下端的磨口面之间夹一溴化汞试纸,光面向下,并用橡皮圈将玻璃帽与测砷管固定。

4.操作方法

(1)样品消化:同银盐法。

(2)测定:吸取一定量样品消化液(相当于样品量2~5g,视样品含砷量而定)及同量的试剂空白液分别置于测砷瓶中,加15%碘化钾溶液5mL、酸性氯化亚锡溶液5滴及盐酸5mL(要减去样品中含酸量),再加适量水至35mL。

吸取0.0、0.5、1.0、2.0mL砷标准使用液(相当于0、0.5、1.0、2.0μg砷)分别置于测砷瓶中,各加15%碘化钾溶液5mL,酸性氯化亚锡5滴及盐酸5mL,各加水至35mL。

于盛样品消化液、试剂空白液及砷标准溶液的测砷瓶中各加3g无砷锌粒,并分别立即塞上预先装有乙酸铅棉花及溴化汞试纸的测砷管,于25℃放置1h,取出样品及试剂空白的溴化汞试纸与标准砷斑比较定量。

5.计算

同银盐法5。

6.允许差

相对相差≤20%。

7.注意事项

(1)吸取样品消化液的量可视样品含砷量定,最后总体积达35mL即可。

(2)H2S可与溴化汞试纸生成色斑(HgS黑色)干扰测定,用乙酸铅棉花可除去H2S。

(3)锑、磷等都可与溴化汞试纸显色,其鉴别方法是采用氨蒸熏黄色斑,如果先变黑再退去为砷,不变时为磷,变黑时为锑。

(4)三氧化二砷有剧毒,使用时必须谨慎,切勿用嘴吸取。

随便看

 

离鸟网收录3541549条中英文词条,其功能与新华字典、现代汉语词典、牛津高阶英汉词典等各类中英文词典类似,基本涵盖了全部常用中英文字词句的读音、释义及用法,是语言学习和写作的有利工具。

 

Copyright © 2004-2024 vtrois.com All Rights Reserved
更新时间:2026/4/20 8:22:00