网站首页  词典首页


请输入您要查询的字词:

 

字词 短路电流的计算
类别 中英文字词句释义及详细解析
释义

短路电流的计算


短路故障指运行中的电力系统或工厂企业供配电系统的相与相或相与地之间发生的金属性非正常连接。

短路故障对电力系统的危害最大,按照短路的不同情况,可分为单相短路、两相短路、两相短路接地和三相短路4种类型,如表6-4所示。

表6-4 短路种类、表示符号、性质及特点

短路计算的目的是为正确选择和校验电气设备、准确地整定供配电系统的保护装置,避免在短路电流作用下损坏电气设备,保证供配电系统中出现短路时,保护装置能可靠动作。

在高压系统中,通常采用标出值法或短路容量法计算短路电流。而在低压系统中,常用欧姆法来计算短路电流。

1.欧姆法计算短路电流

为了计算短路电流,应求出短路点以前回路的总阻抗,一般只计算各主要元件(发电机、变压器、架空线路、电缆线路、电抗器等)的电抗而忽略其电阻。

(1)电力系统的电抗计算

式中 Upj——高压馈电线的平均额定电压(kV);

Sd1——高压断路器的断流容量,查表1-25。

(2)电力变压器的电阻计算

式中 △Pd——变压器短路损耗(kW);

SN——变压器的额定容量(kW);

Upj——短路计算点的平均额定电压(kV)。

(3)电力变压器的电抗计算

式中 Ud%——变压器短路电压(阻抗电压);

SN——变压器的额定容量(kW);

Upj——短路计算点的平均额定电压(kV)。

(4)电力线路的计算

线路电阻:

R1=r0·l (6-39)

式中 r0——导线或电缆单位长度的电阻值,查表1-24;

l——线路长度。

线路电抗:

X1=X0·l (6-40)

式中 X0——导线或电缆单位长度的电抗,查表1-24。

当线路中有两个电压时则需折算为

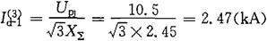
[例6-7] 某供电系统接线如图6-3所示。已知电力系统出口断路器的断流容量为200MVA。试求工厂配电所d-1点的三相短路电流和短路容量(UPJ=10.5kV)。

图6-3

[解] 电力系统XT的电抗

架空线1-1的电抗,由电力线路每相的单位长度电抗平均值(Ω/km)表中(表1-26)可查得。

架空线路在线路电压为6~10kV时,X0=0.38,因此得

X1-1=X0·l=0.38×5=1.9(Ω)

d-1点短路的电路总电抗

X=XXT+X1-1=0.55+1.9=2.45(Ω)

三相短路电流

三相短路容量

2.经验计算法计算短路电流

若馈电线电压为10kV时,可用5.5kV除以线路中某点短路的电路总电抗,即可求得短路电流。

上例如用经验计算法计算,则有:

随便看

 

离鸟网收录3541549条中英文词条,其功能与新华字典、现代汉语词典、牛津高阶英汉词典等各类中英文词典类似,基本涵盖了全部常用中英文字词句的读音、释义及用法,是语言学习和写作的有利工具。

 

Copyright © 2004-2024 vtrois.com All Rights Reserved
更新时间:2026/4/19 18:36:44