网站首页  词典首页


请输入您要查询的字词:

 

字词 矩阵运算
类别 中英文字词句释义及详细解析
释义

矩阵运算


1.相等、加减、数乘

相等:两同阶矩阵指aij=bij

加减:若A、B同阶,则

A±B=(aij±bii) (2.3-2)

数乘:若α为一个数,则

αA=(αaij) (2.3-3)

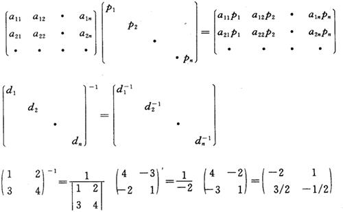
2.乘法

即C的i行j列元素cij,为A的i行各元素与B的j列各对应元素乘积之和。

3.求逆

对于方阵A,若

AB=BA=I

则称B为A的逆,记为B=A-1,A有逆的充要条件是A的行列式非零(即|A|≠0,亦称A非异)。逆可由下式计算

式中Aij为A中aij代数余子式(划去A中i行j列,由余下的(n-1)(n-1)阶方阵的行列式乘(-1)i+j而得)

4.运算律

(1)A+B=B+A,(A+B)+C=A+(B+C)=A+B+C

(2)α(A+B)=αA+αB

(3)(AB)C=A(BC)=ABC

(4)(A+B)C=AC+BC,A(B+C)=AB+AC

(5)AI=IA=A,AO=OA=O

(6)(AB)′=B′A′,(A+B)′=A′+B′,(A′)′=A

(7)(A′)-1=(A-1),(AB)-1=B-1A1,(A-1)-1=A

(8)|A-1|=|A|-1

〔例2.3-1〕

〔例2.3-2〕 建立矩阵线性方程

在计量工作中,经常有多个待求量,它们可以形成函数关系,通过测量这些量的函数,确定待求量。经常遇到的是线性函数,或可以化为线性函数,即待求的x1,·,xn间的线性函数,形成线性方程

由测得的已知数l1,·,ln,求x1,·,xn时,首先将系数aij,已知数li,待求数xi用矩阵表示为:

由矩阵的乘法与相等运算,可知上述线性方程等价于

即AX=L,两端乘逆A-1,由于AA-1=I,IX=X,故得解

X=A-1L

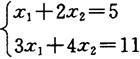
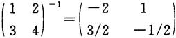
〔例2.3-3〕解线性方程

这一方程用矩阵可以写为

故解为

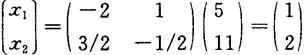
故得解

即:x1=1,x2=2。

当n很大时,用矩阵表示线性方程并求解,既简单又方便。

【参考文献】:

[1]王立吉,计量学基础,中国计量出版社,1988。

[2]BIPM、IEC、IFCC,IUPAC,IUPAP,OIML,Guide to the Expression of Uncertainty in Measurement, ISO,1993.

[3]刘智敏,不确定度原理,中国计量出版社,1993。

[4]刘智敏,误差分布论,原子能出版社,1988。

[5]刘智敏,误差与数据处理,原子能出版社,1983。

[6]Liu Zhimin(刘智敏),Measurement Uncertainty and Its Correlation Combination,Proceeding of ISEM, 1993.

[7]国家计量总局量值传递处编,计量技术考核纲要,计量出版社,1981。

[8]国家技术监督局审定,刘智敏等编审,全国计量检定人员考核统一试题集第六分册三,误差及数据处理,陕西科学技术出版社,1990。

随便看

 

离鸟网收录3541549条中英文词条,其功能与新华字典、现代汉语词典、牛津高阶英汉词典等各类中英文词典类似,基本涵盖了全部常用中英文字词句的读音、释义及用法,是语言学习和写作的有利工具。

 

Copyright © 2004-2024 vtrois.com All Rights Reserved
更新时间:2026/4/21 16:54:09