网站首页  词典首页


请输入您要查询的字词:

 

字词 矩阵概念
类别 中英文字词句释义及详细解析
释义

矩阵概念


在计量技术中,经常要分析多个数而不只是一个数,在测量时,也常常测量多个量来表征一个物体,如空间物体的尺度用三维表征等。矩阵是研究多个数或多个量的有力工具。

由n×m个数aij排成的长方形表为

称此表为矩阵,记为 A=(aij)=(aij)nm (2.3-1)

nm称A的阶,aij称A的元素。矩阵的横排称行,纵排称列。

n=m的矩阵称为方阵,a11,a22,…ann称主对角元素,简称对角元素。

m=1的矩阵为列向量,即

n=1的矩阵为行向量,即

A=(x1,x2,·,xm)

将A的行列互换而得的矩阵,称为A的转置矩阵

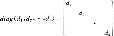
除主对角元素外,其余元素为零的方阵称为对角阵

主对角元素皆为1的对角阵为单位阵

一切元素皆为零的矩阵为零阵0。

矩阵A中不等于零的子行列式最大阶数,称为A的秩R(A)。

【参考文献】:

[1]王立吉,计量学基础,中国计量出版社,1988。

[2]BIPM、IEC、IFCC,IUPAC,IUPAP,OIML,Guide to the Expression of Uncertainty in Measurement, ISO,1993.

[3]刘智敏,不确定度原理,中国计量出版社,1993。

[4]刘智敏,误差分布论,原子能出版社,1988。

[5]刘智敏,误差与数据处理,原子能出版社,1983。

[6]Liu Zhimin(刘智敏),Measurement Uncertainty and Its Correlation Combination,Proceeding of ISEM, 1993.

[7]国家计量总局量值传递处编,计量技术考核纲要,计量出版社,1981。

[8]国家技术监督局审定,刘智敏等编审,全国计量检定人员考核统一试题集第六分册三,误差及数据处理,陕西科学技术出版社,1990。

随便看

 

离鸟网收录3541549条中英文词条,其功能与新华字典、现代汉语词典、牛津高阶英汉词典等各类中英文词典类似,基本涵盖了全部常用中英文字词句的读音、释义及用法,是语言学习和写作的有利工具。

 

Copyright © 2004-2024 vtrois.com All Rights Reserved
更新时间:2026/4/20 18:58:07