网站首页  词典首页


请输入您要查询的字词:

 

字词 真比重、假比重、显比重、体积;开口气孔与闭口气孔之间的关系
类别 中英文字词句释义及详细解析
释义

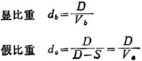
真比重、假比重、显比重、体积;开口气孔与闭口气孔之间的关系


D——干样重

W——饱水试样重

S——水中称重

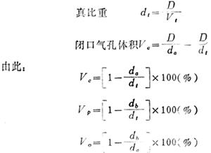
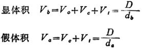
Vt——真体积(不包括气孔)

Va——假体积(只包括闭口气孔)

Vp——总气孔体积

Vo——开口气孔体积

Vc——闭口气孔体积

Vb——显体积(包括闭口气孔与开口气孔)

da——假比重

db——显比重

dt——真比重

闭口气孔体积Vc=Va-Vt

开口气孔体积Vo=Vb-Va

总气孔体积Vp=Vc+Vo=Vb-Vt

随便看

 

离鸟网收录3541549条中英文词条,其功能与新华字典、现代汉语词典、牛津高阶英汉词典等各类中英文词典类似,基本涵盖了全部常用中英文字词句的读音、释义及用法,是语言学习和写作的有利工具。

 

Copyright © 2004-2024 vtrois.com All Rights Reserved
更新时间:2026/4/21 8:51:47