网站首页  词典首页


请输入您要查询的字词:

 

字词 相关分析法
类别 中英文字词句释义及详细解析
释义

相关分析法


又称相关系数检验法。它是通过数学运算,较准确地表达两个变量之间相关程度,并用一个数量指标来表达的方法。这个数量指标叫相关系数。对于n组对应的数值:

相关系数r的计算公式是:

式中 个x数据的平均值;

个y数据的平均值;

lxx——x的离差平方和,即

lyy——y的离差平方和,即

lxy——x的离差与y的离差之积,即

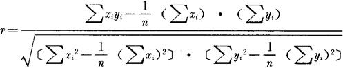
在通常计算时,往往采用较方便、计算误差较小的计算公式:

计算出r值之后,就要查《相关系数检验表》。在对应的自由度n-2和风险度a交叉处查出的数据与计算结果r的绝对值比较:如果后者不小于前者,则说明两变量确实存在相关关系,所冒风险程度为a;如果后者小于前者,则不说明两变量之间确有相关关系。

随便看

 

离鸟网收录3541549条中英文词条,其功能与新华字典、现代汉语词典、牛津高阶英汉词典等各类中英文词典类似,基本涵盖了全部常用中英文字词句的读音、释义及用法,是语言学习和写作的有利工具。

 

Copyright © 2004-2024 vtrois.com All Rights Reserved
更新时间:2026/4/21 0:11:24