网站首页  词典首页


请输入您要查询的字词:

 

字词 皮革专用络合棕RG
类别 中英文字词句释义及详细解析
释义

皮革专用络合棕RG


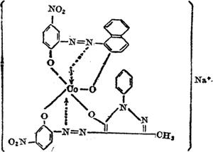
〔结构式〕

〔质量规格〕

〔性质〕

1.色泽鲜艳,匀染性较好,耐干、湿擦,色牢度较好。

2.溶于醇、酮、酯类及醇醚等有机溶剂。

3.能与丙烯酸树脂、硝化纤维涂饰剂混合,可作为着色材料。

〔制备方法〕

〔用途〕

苯胺革着色。

〔贮运使用注意事项〕

1.染料为易燃品,存放和使用时严防与明火接触。

2.染料包装容器应密封,防止溶剂挥发造成染料析出。

3.如遇染液浑浊,乃系染液过饱和,染料析出之故,应将染料液静置,澄清过滤后使用。滤出的固体染料可用酒精或乙二醇乙醚溶解后使用。

4.使用时应加入渗透剂,以防喷涂后产生浮色。

〔生产单位〕

青岛染料厂。

随便看

 

离鸟网收录3541549条中英文词条,其功能与新华字典、现代汉语词典、牛津高阶英汉词典等各类中英文词典类似,基本涵盖了全部常用中英文字词句的读音、释义及用法,是语言学习和写作的有利工具。

 

Copyright © 2004-2024 vtrois.com All Rights Reserved
更新时间:2026/4/21 7:16:07