网站首页  词典首页


请输入您要查询的字词:

 

字词 电阻计量
类别 中英文字词句释义及详细解析
释义

电阻计量


1.电阻的概念

电阻的概念源于“欧姆定律”,即一通电导体两端的电压U与通过此导体的电流I成正比,其比例系数R即称为此导体的电阻。用公式表示为

U=R·I (6.3-31)

2.欧姆及其复现

在SI单位制中,电阻的单位为欧姆。前面已谈到过,SI单位制中独立的电单位只有一个,即电流单位安培,而电阻单位可以由电功率单位瓦特及电流单位安培按电功率关系式P=I2.R导出。但在实用中,用这样的方法复现电阻单位过于复杂,更多的是使用前面介绍过的“计算电容”法,即从长度及时间单位导出电阻的SI单位,可得到很好的效果。

80年代以来,量子化霍尔效应的发现提供了一种全新的复现欧姆单位的手段。由此种效应复现的量子化霍尔电阻为:

h为谱郎克常数,e为基本电荷,i为正整数。由于h和e为基本物理常数,不随时间地点、样品材料等因素而变化,因此原则上量子化霍尔电阻具有极好的复现性。由于量子化霍尔电阻所固有的明显优点,国际计量委员会于1988年的第77次会议决定,于1990年1月1日起在世界范围内启用量子化霍尔电阻标准替代沿用多年的实物电阻标准。量子化霍尔电阻的国际推荐值为:

RHi=1=25812.807Ω (6.3-33)

该值又称为冯.克里青常数,用符号RK-90表示。采用此推荐值后,各国据此复现的欧姆单位的一致性得到了明显的改善,可达到10-8~10-9量级。

但亦应指出,此推荐值并不就是量子化霍尔电阻RH真正的SI值,而仅是在1988年各国用计算电容法及回旋加速器法测定的RH的SI实验值的平均值,不确定度为2×10-7。进一步减小推荐值的不确定度,使得用量子化霍尔效应复现的欧姆单位进一步接近真正的SI值,是今后一段时间内计量工作的重要任务之一。

3.标准电阻及其特性参数

用量子化霍尔效应复现欧姆单位需用复杂的低温实验设备,实验费用也很昂贵,因此不宜用于日常的检定工作。实践中人们仍使用一组高稳定度的标准电阻器保存由量子化霍尔效应复现的欧姆单位。这样的标准电阻器一般用锰铜合金、依文合金等高质量电阻合金制成,其特性可用调整准确度、温度系数、压力系数和阻值的年变化量等一些主要参数表征。

(1)调整准确度:即实际电阻值和名义值的差别,用百分数表示,如0.01%、0.02%、0.05%等等。用作高等级的如工作基准、一等、二等标准的标准电阻都是调整准确度为0.01%的。

(2)温度系数:即电阻值随温度变化而变化的系数。由于标准电阻均用在高精度的测量中,因此除一次项系数之外还应考虑二次项温度系数。当已知一标准电阻20℃下的阻值R20及其一次项、二次项温度系数α和β,则该电阻在某一温度t下的阻值Rt可由下式算得

Rt=R20[1+α(t-20)+β(t-20)2] (6.3-34)

目前我国广泛采用的锰铜合金双壁密封式标准电阻的一次项温度系数均在2×10-5/℃以下,有的还小到10-7量级,二次项温度系数则都在(5~6)×10-7/℃2左右。近二十年来新出现的依文合金电阻的温度特性要比锰铜电阻好得多,一次项和二次项温度系数分别在10-7和10-8量级。

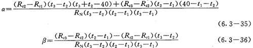
标准电阻在出厂时均由生产厂给出其温度系数,在要求不是很高时可以直接采用。标准电阻温度系数的测量须在恒温油槽中进行,一般在15℃、20℃、25℃或10℃、20℃、30℃三个温度点附近(t1、t2、t3)进行三次电阻值的测量,得Rt1、Rt2和Rt3,将对应的温度及测得的电阻值代入公式(6.2-34),可得三个方程,α和β即可通过解这方程组得到:

式中RN为被测电阻的名义值。

(3)压力系数:即电阻值随大气压力的变化系数。这是由于双壁密封标准电阻内部的压力是固定的,当大气压力发生变化时,使电阻外壳及电阻线发生微小变形而导致电阻发生变化。压力系数一般都比较小,对于锰铜双壁密封标准电阻,约在10-7/kPa量级,一般测量可以不考虑其影响,但在气压变化比较大且测量精度要求高时应进行修正。近年出现一些新结构的标准电阻其压力系数可小到10-8/kPa量级或≈0。

(4)阻值的年变化量:这是标准电阻最重要的技术指标,也是划分标准电阻等级的主要依据。

4.标准电阻的检定方法

标准电阻的检定项目包括:外观,电阻值,温度系数和绝缘电阻。在周期检定中只检前两项。下面仅介绍电阻值的检定。

除精度等级低的标准电阻可采用直接测量法进行检定外,0.02%及以上等级的同标称值标准电阻的检定传递通常采用替代比较法,按标准-被检-标准即RS-RX-RS的对称闭合循环进行。一般采用满足一定精度等级要求的电桥作为检定装置。

(1)单电桥检定装置

用单电桥按替代比较法检定标准电阻时,其检定程序如下:

1)将RS接入电桥,确定检定装置的电阻相对变化常数CR(CR为灵敏度的倒数):

CR=dA/dα (6.3-37)

式中dA测量盘读数改变的相对值,应使dA≥2Cx,(Cx为被检电阻器的等级指数),da为对应的指零仪读数的变化。

2)调节测量盘至电桥平衡或接近平衡,读取仪器相对读数及指零仪读数

3)换接RS为RX,重复第2步平衡工作,读取仪器相对读数Ax及指零仪读数αx

4)再将RS替换RX,重复第2步的过程,读取仪器相对读数及指零仪读数

5)检定结果按下式计算:

Rx=Rs+[(Ax-As)+(αx-αs)CR]RN (6.3-38)

式中:,RN-电阻器的标称值。

上述测量读数应按虚零位法读取,或取由电流正、反两个方向确定的平均值。

(2)双电桥检定装置

单电桥主要适用于较高阻值电阻的测量,对于中值和低值电阻,引线和端钮电阻会影响测量结果。中低阻值电阻的测量一般需接成如图6.2-15所示的四端钮方式,电流从电流端I1及I2流过,测量两个电压端U1和U2之间的电位差,这样引线电阻和端钮处的接触电阻的影响就可避免。

图6.3-15 四端钮电阻示意图

双电桥是针对四端钮电阻的测量而设计的,如图6.3-16所示,比例臂分为内臂和外臂两个支路,内外两个比例臂的比例相同。

图中:RA(Rc)-外(内)比较臂电阻;RB(RD)-外(内)比例臂电阻;Rx-被测臂电阻;RT-参考臂电阻;r-跨线电阻;KE-电源换向开关:RE-电源回路调节电阻:A-直流电流表;E-电源

图6.3-16 凯尔文双电桥原理线路图

电压端的引线电阻和接触电阻用阻值较高的比例臂覆盖,电流端的引线电阻和接触电阻串联在电流回路中或和连线L的电阻一起按内比例臂的比例分配在RX和RT中,所以不影响电桥平衡。由于解决了引线电阻和端钮接触电阻的影响问题,双电桥可适用于中低值电阻的测量。用图6.3-16所示的凯尔文双电桥测量电阻时,调节RA(RC联动),使指零仪指零,实现电桥平衡,得:

当内外臂的比例完全相等时,(6.3-39)式没有误差,实际上由于电阻的调整精度限制,RA/RB不可能完全等于RC/RD,因此在高精度的测量中,还应想法消除这一误差。三步平衡电桥就是为解决这一问题而出现的。该电桥在外比例臂上增加了一根跨线,四个内外比例(比较)臂上还增加了可调附加电阻,通过反复的三次平衡,可完全消除上述误差的影响。有关三次平衡电桥的原理和操作步骤可参考有关资料。

5.标准电阻的过渡(比例测量)

在实际使用中需要各种不同量值的电阻值,要使这些电阻值溯源到欧姆单位,就需要在不同量值的电阻之间进行过渡。最常见的例子是十进电阻值之间的过渡,当然有时也要用到非十进电阻值之间的过渡。过渡的方法有两大类,一类是用电阻串并联的方法,一类是用电流比较仪。

(1)哈蒙(Hamon)量具

用电阻串并联方法进行过渡的最常见例子是哈蒙量具。其基本原理是:如果有n个同名义值的电阻器,其名义值为R,则把它们串联起来可得到nR,并联时则得到R/n,两种不同的连接方法就得到了1/n2的电阻量值比例。进一步的计算还可证明,如果这些电阻对名义值的偏差为△,则比例1/n2对名义值的偏差仅为△2量级,即通过这种方法可得到准确度很高的1/n2的电阻比例。图6.3-17为哈蒙量具的基本连接线路图。各电流端和电压端不加连线时,为串联模式,当电流端和电压端分别连接起来就可成为并联模式。

图6.3-17 哈蒙量具的基本连接图

(2)电流比较仪

电流比较仪的原理如图6.3-18所示。绕在同一铁芯上的两个绕组的匝数分别为W1和W2,通过的电流为I1和I2,如满足条件I1W1-I2W2=0即总安匝数为零,则

图6.3-18 电流比较仪的原理

I1/I2=W2/W1 (6.3-40)

由于W1和W2是正整数,此比值可以达到很高的准确度。上述安匝数平衡可以用检测线圈中的磁状态来判断。当在两电流回路分别接入被比较的电阻,在两电阻之间接入检流计G,如图6.3-19所示,则构成电流比较仪电桥。当检流计D平衡时,有

图6.3-19 直流电流比较仪电桥原理线路

I1R1=I2R2 (6.3-41)

由式(6.3-40)和(6.3-41)可得

R1/R2=W1/W2 (6.3-42)

即在电流比较仪达到了安匝平衡和电压平衡之后,电阻比等于匝数比。因此用电流比较仪可以测量非十进电阻,进行不同名义值十进电阻之间的过渡和同名义值电阻的检定传递。装置本身的不确定度最小可到10-7量级。

利用超导技术也可制成准确度更高的低温电流比较仪。其基本原理与图6.3-18相似,但不用铁芯,而且用超导量子干涉器(SQUID)来检测安匝数的平衡条件。

【参考文献】:

[1]国家技术监督局发布,GB3100~3102-93量和单位国家标准,中国标准出版社,1994年12月。

[2]王江主编,现代计量测试技术(第18章电磁计量技术),中国计量出版社,1990年12月。

[3]程守洙、江之永主编,普通物理学第二册,人民教育出版社,1979年2月。

[4]俞大光编,电工基础,人民教育出版社,1958年9月。

[5]Г.И.阿塔别柯夫,线性电路理论,人民教育出版社,1963年12月。

[6]C.A.狄苏尔、葛守仁,电路基本理论,人民教育出版社,1979年1月。

[7]乔蔚川、刘瑞珉、沈平子,The Absolute Measurement of the Ampere by Means of NMR,IEEE Trans.Instrum.Meas.,vol.IM-29,No.4,Dec.,1980.

[9]张钟华等,NIM用计算电容测定的量子化霍尔电阻的SI值(英文),计量学报,第16卷,第1期,1995年1月。

[10]刘瑞珉、刘恒基、金惕若等,NIM对γ′p及2e/h的SI值的最新测定结果(英文),计量学报,Vol.16,No.3,1995年7月。

[11]B.P.Kibble。I.A.Robinson and J.H.Belliss,A Realization of the SI Watt by the NPL MovingCoil Balance,CCE Documents 88-16,1988.

[12]P.T.Olsen。R.E.Elmquist,E.R.Williams,G.R.Jones and V.E.Bower,A Measurement of the NBS Electrical Watt in SI Units,CCE Documents 88-37,1988.

[13]Report of the 18th Meeting of CCE,1988.

[14]B.P.Kibble,I.A.Robinson and J.H.Belliss,The New NPL Moving Coil Balance-A Progress Report,CCE Documents 92-61,1992.

[15]唐统一、张钟华、张叔涵主编,近代电磁测量,中国计量出版社,1992年8月。

[16]袁楠、沈平子编,电磁量的单位制和单位的复现与传递,机械工业出版社,1986年4月。

[17]阮永顺、迈淑琴、王晓超编着,交流电桥检定与测试技术,中国计量出版社,1991年5月。

[18]唐佐梁、梁德正等,电能计量手册,河南科学技术出版社,1990年12月。

[19]K.J.Lentner.A Current Comparator System to Establish the Unite of Electrical Energy at 60 Hz,IEEE Trans.Instr.Meas.Vol.23,No.4,p.334-336,Dec.,1974.

[20]ю.B.阿法拉谢耶夫等着[苏],张伦译,磁场参数测量器具,科学出版社,1983。

[21]p.Φ.阿克纳叶夫、Л.И.留必莫夫、A.M.巴纳休克-米罗维齐着,李绍贵,王登安译,电磁量计量器具的检定,中国计量出版社,1992年5月。

随便看

 

离鸟网收录3541549条中英文词条,其功能与新华字典、现代汉语词典、牛津高阶英汉词典等各类中英文词典类似,基本涵盖了全部常用中英文字词句的读音、释义及用法,是语言学习和写作的有利工具。

 

Copyright © 2004-2024 vtrois.com All Rights Reserved
更新时间:2026/4/20 14:16:17