网站首页  词典首页


请输入您要查询的字词:

 

字词 电量的测量
类别 中英文字词句释义及详细解析
释义

电量的测量


1.磁电系直流电流表量程的扩大

磁电系直流电流表由磁电系测量机构与分流电阻并联组成。图4-1为磁电系直流电流表的电路。要扩大电流表的量程,可通过并联分流电阻来扩大量程,其计算公式为:

图4-1 磁电系直流电流表电路

式中 RA——分流电阻(Ω);

Ra——磁电系测量机构的内阻(Ω);

n——电流表量程扩大倍数。

[例4-4] 有一只内阻为200Ω,满刻度电流为500μA的磁电系测量机构,现要将其改制成量程为1A的直流电流表,求应并联的分流电阻的阻值。

[解] 先求电流量程扩大倍数

应并联的分流电阻的阻值为

分流电阻一般采用电阻率较大,电阻温度系数很小的锰铜制成。被测电流小于30A时,采用内附分流器,大于30A时,采用外附分流器。

2.磁电系直流电压表量程的扩大

图4-2为磁电系直流电压表电路。磁电系直流电压表由磁电系测量机构与分压电阻串联组。要扩大电压表的量程,可通过串联分压电阻来扩大量,其计算公式为:

图4-2 磁电系直流电压表电路

Rv=(m-1)Ra (4-8)

式中 Rv——分压电阻(Ω);

Ra——磁电系测量机构的内阻(Ω);

m——电压表量程扩大倍数。

[例4-5] 一只内阻为500Ω,满刻度电流为100μA的磁电系测量机构,要改制成50V量程的直流电压表,应串联多大的分压电阻?该电压表的总电阻是多少?

[解] 先求出测量机构的额定电压

Ua=Ia·Ra=100×10-6×500=0.05(V)

再求电压量扩大倍数

应串联的分压电阻为

Rv=(m-1)Ra

=(1000-1)×500=499500(Ω)

=499.5(kΩ)

该电压表的总电阻为

R=Ra+Rv=500+499500

=500000(Ω)=500(kΩ)

分压电阻一般采用电阻率较大,电阻温度系数很小的锰铜制成。量程低于600V时,采用内附式分压器,高于600V时,采用外附式分压器。

3.伏安法测电阻

把被测电阻接上直流电源,然后用电压表和电流表分别测得电阻两端的电压Ux和通过电阻的电流Ix,再根据欧姆定律计算算出被测电阻的方法,称为伏安法。伏安法是一种间接测量用于中电阻测量的方法。被测电阻为:

式中 Rx——被测电阻(Ω);

Ux——被测电阻两端的电压(V);

Ix——被测电阻中通过的电流(A)。

伏安法测电阻的误差:

(1)电压表前接电路

图4-3(a)为电压表前接电路。由于电压表接在电流表之前,电压表所测量的电压是被测电阻两端的电压与电流表内阻上的电压之和。另外电流表与被测电阻串联,故有IA=Ix

(a)电压表前接电路

(b)电压表后接电路

图4-3 伏安法测电阻

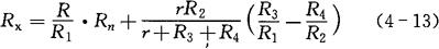
因此按照伏安法计算出来的电阻为:

Rx-被测电阻 rV-电压表内阻 rA-电流表内阻

式中 Uv——电压表示值电压(V);

Ux——被测电阻两端的电压(V);

Ix——被测电阻中通过的电流(A);

IA——电流表中通过的电流(A);

Ix——被测电阻中通过的电流(A);——测量的电阻值(Ω);

Rx——被测电阻(Ω);

rA——电流表内阻(Ω)。

在测量的电阻值中包括了电流表的内阻rA,于是出现了方法上的误差。其结果使测量值比实际值大,且误差为正值。只有在的条件下,才有。所以电压表前接电路适用于被测电阻很大(远大于电流表内阻)的情况。

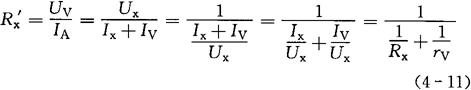
(2)电压表后接电路

图4-3(b)为电压表后接电路。由于电表接在电流表之后,则通过电流表的电流是通过被测电阻的电流与通过电压表的电流之和。另外由于电表与被测电阻直接并联,故有Uv=Ux

因此按照伏安法计算出来的电阻为:

式中 UV——电压表示值电压(V);

Ux——被测电阻两端的电压(V);

Ix——被测电阻中通过的电流(A);

Iv——电压表中通过的电流(A);——测量的电阻值(Ω);

Rx——被测电阻(Ω);

rv——电压表内阻(Ω)。

在测量的电阻值是被测电阻Rx和电压表内阻rv并联的阻值,于是出现了方法上的误差,测量值比实际值Rx小,误差为负值。只有在的条件下,才有。所以电压表后接电路适用于被测电阻很小(远小于电压表内阻)的情况。

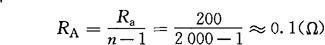
4.直流单臂电桥测电阻

图4-4为直流单臂电桥原理图。直流单臂电桥又称惠斯登电桥,它是一种专门用来测量中电阻的精密测量的比较仪器。由电源、按钮、检流计和由Rx、R2、R3、R4分别组成的电桥的4个桥臂组成的。四个桥臂中,Rx叫被测臂;R2、R3构成比例臂;R4叫比较臂。

图4-4 直流单臂电桥工作原理图

电桥平衡时,可得:

式中 Rx——被测电阻(Ω);

——比例臂;

R4——比较臂电阻(Ω);

上式说明,电桥平衡时,被测电阻Rx=比例臂倍率×比较臂读数。

[例4-6] 用QJ23型直流单臂电桥测量一电阻,比例臂选择在0.01档。电桥平衡后,比较臂的指示依次为:x1→2;x10→4;x100→0;x1000→1,则被测电阻Rx为多少?

5.直流双臂电桥测电阻

图4-5为直流双臂电桥原理图。直流双臂电桥又称凯文电桥。和直流单臂电桥相比,它能消除接线电阻和接触电阻对测量结果的影响。因此直流双臂电桥是专门用来精密测量1Ω以下小电阻的仪器。电桥平衡时,可得:

图4-5 直流双臂电桥的原理图

式中 Rx——被测电阻(Ω);

R1、R2、R3、R4——桥臂电阻(Ω);

Rn——标准电阻(Ω);

r——接线电阻(Ω)。

上式表示,用双臂电桥测量电阻时,Rx由两项决定,其中第一项与单臂电桥相同,第二项称为“校正项”。为了使双臂电桥平衡时,求解Rx的公式与单臂电桥相同,必须使校正项等于零。所以要求R3/R1=R4/R3,同时使r→0。

6.兆欧表测电阻

图4-6为兆欧表内部构造示意图。

图4—6 兆欧表内部构造示意图

兆欧表是一种专门用来测量电气设备绝缘电阻的便携式仪表。一般的兆欧表主要由手摇直流发电机、磁电系比率表以及测量线路组成。手摇直流发电机的额定电压主要有500V、1000V、2500V等几种。发电机上装有离心调速装置,使转子能恒速转动。兆欧表的测量机构采用磁电系比率表,它的主要构造包括一个永久磁铁和两个固定在同一转轴上且彼此相差一定角度的线圈。电路中的电流通过无力矩的游丝分别引入两个线圈,使其中一个线圈产生转动力矩,另一个线圈产生反作用力矩。仪表气隙内的磁场是不均匀的,这样的结构可以使仪表可动部分的偏转角α与两个线圈中电流的比率有关,故称“磁电系比率表”。

其被测电阻的计算为:

式中 α——兆欧表指针的偏转角;

F——函数表示;

I1——流入线圈1的电流(A);

I2——流入线圈2的电流(A);

R1——线圈1的回路电阻(Ω);

R2——线圈2的回路电阻(Ω);

Rx——被测电阻(Ω);

U——手摇直流发电机的额定电压(V)。

上式说明兆欧表指针偏转角α是两个线电流比值的函数关系,即α只取决两个线圈电流的比值,而与其他因素无关。由于I2的大小一般不变,而I1=U/(R1+Rx)随被测绝缘电阻Rx的变化而变化,所以α能直接反映被测电阻的数值。

不同额定电压兆欧表的使用范围如表4-2所示。

表4-2 不同额定电压兆欧表的使用范围

如果用500V以下的兆欧表测量高压设备的绝缘电阻,则测量结果不能正确反映其工作电压下的绝缘电阻值。同样,也不能用电压太高的兆欧表去测量低压电气设备的绝缘电阻,以免损坏其绝缘。

兆欧表的接线:

兆欧表有三个接线端钮,分别标有L(线路)、E(接地)和G(屏蔽),使用时应按测量对象的不同来选用。当测量电力设备对地的绝缘电阻时,应将L接到被测设备上,E可靠地接地即可。但当测量表面不干净或潮湿的电缆绝缘电阻时,为了准确测量其绝缘材料内部的绝缘电阻(即体积电阻),就必须使用G端钮,接法如图4-7所示。这样,绝缘材料的表面漏电流IS沿绝缘体表面,经G端钮直接流回电源负极。而反映体积电阻的Iv则经绝缘电阻内部、L接线端、线圈1回到电源负极。可见,屏蔽G的作用是屏蔽表面漏电电流。加接屏蔽G后的测量结果只反映了体积电阻的大小,因而大大提高了测量的准确度。

图4-7 端钮“屏”的使用方法

7.电容器容量的测量及电感线圈电感的测量

(1)电流电压表法测电容

图4-8为电流电压表测电容的原理图。被测电容器两端加电压,用电压表和电流表分别测得电容器两端的电压U和流过电容器的电流IC,则被测电容的计算为:

图4-8 用电流、电压表法测量电容器的电容值

式中 C——被测电容器的电容值(F);

IC——电流表读数(A);

U——电压表读数(V);

f——电源频率(Hz)

XC——容抗(Ω)。

电力电容器电容值的变化率用百分数表示,其计算为:

式中 Ce——被测电容器的标称值(F);

C——被测电容器的实测值(F)。

所测电容值与标称值比较,变化率不超过±10%为合格。

(2)万用表测电容

图4-9为用万用表测电容原理图。实用中有的万用表上备有电容标尺可用来测电容,这时应将万用表拨至交流电压挡,外加可调交流电源e,如图4-9(a)所示。调节电源电压,使万用表指针满偏,此时

(a)

(b)

图4-9 用万用表测电容

U=IRv (4-18)

式中 U——万用表使用的电压量程(V);

I——满偏时流过回路的电流(A);

Rv——万用表对应电压挡的总内阻(Ω)。

然后保持电源电压不变,将被测电容器串联接入,如图4-9(b)所示。由于回路总阻抗增大,电流将减小到I′,可以列出

因为电压保持不变,所以

式中 I′——回路中变化的电流(A);

Z——阻抗(Ω);

XC——容抗(Ω);

f——电源频率(Hz);

C——被测电容(F)。

上式中Rv、I、f都是常数时,I′由电容C的值决定,即指针偏转角α随C值而变

α=F(C)

可以直接从万用表上的电容标尺,按指针所指刻度读得电容的数值。

用电流电压表法和用万用表测电容不用复杂的设备,比较简单易行,但测量误差较大。

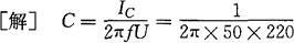
[例4-7] 用电流电压表法测电容时,f=50Hz测得的电压U=220V,测得流过电容器的电流IC=1A。求被测电容器的电容值。

=1.448×10-5(F)=14.48(μF)

(3)交流电桥法测电容

交流电桥是一种比较仪器,用它测量电容可以得到比较准确的测量结果。常用的是QS18A万用电桥。图4-10为交流电桥法测电容原理图。当电桥平衡时,即检流计G的读数为零,则电容CX的计算为:

图4-10 交流电桥法测电容

tanδ=ωCNRN

式中 CX——被测电容(F);

CN——标准电容(F);

R2——倍率电阻(Ω);

R4——电容量读数电阻(Ω);

tanδ——损耗角正切值;

ω——交流电源的角频率,一般为6280(rad/s);

RN——tanδ的读数电阻(Ω)。

因此,电容的损耗电阻为

式中 RX——被测电容的损耗电阻(Ω)。

(4)交流电桥法测电感

图4-11为交流电桥法测电感的原理图。当电桥平衡时,即检流计G的读数为零,则电感LX的计算为:

图4—11 交流电桥法测电感

LX=CNR2R3

Q=ωCNRN

式中 LX——被测电感(H);

CN——标准电容(F);

R2——倍率电阻(Ω);

R3——电感量读数电阻(Ω);

Q——品质因数;

ω——交流电源角频率,一般其值为314(rad/s);

RN——Q值读数电阻(Ω)。

由此可得电感线圈的交流电阻为

式中 RX——被测电感线圈的交流电阻(Ω)。

8.功率的测量

(1)直流电路功率的测量

①用直流电流、电压表法测功率。用直流电流表和电压表分别测出电流值I和电压值U,再算出功率值P。其功率计

算为:

P=UI (4-20)

式中 P——被测功率(W);

I——被测电流(A);

U——被测电压(V)。

②用功率表测功率。功率表大多为电动系结构,其中两个线圈的安装如图4-12所示。固定线圈A匝数少,导线粗,作为电流线圈;可动线圈D匝数多,导线细,作为电压线圈。测量功率时,电流线圈和负载串联,线圈中通过的是负载电流;电压线圈串联附加电阻Rs后再与负载并联,线圈上承受的电压正比于负载电压;指针偏转角的大小取决于负载电流和负载电压的乘积。因此功率表的标度可以反映被测功率的大小。

图4-12 电动系动率表原理示意图

功率表使用时应注意的问题:

①正确选择量程。功率表有电流量程、电压量程和功率量程三种量程。选用功率表时,在满足功率量程的同时还必须满足电流量程和电压量程。

[例4-8] 在直流电路中,电阻性负载的阻值R=120Ω,电源电压U=24V。现要用功率表去测量它实际消耗的功率,试选择所用功率表的量程。

[解] 流过负载的电流(根据欧姆定律计算)

负载实际消耗的功率

P=UI=24×0.2=4.8(W)

故确定选用电流量程为0.5A,电压量程为30V,功率量程为30×0.5=15W的功率表。

②要正确接线。由于电动系仪表指针的偏转方向与两线圈中电流的方向有关,为防止指针反转,规定两线圈的发电机端,用符号“*”表示。功率表应按照“发电机端守则”进行接线。

电流线圈:使电流从发电机端流入,电流线圈与负载串联。

电压线圈:保证电流从发电机端流入,电压线圈支路与负载并联。

按照上述原则,功率表有两种接线方式。

电压线圈后接方式如图4-13(b)所示。这种接线方式适用于负载电阻比功率表电压线圈支路电阻小得多的情况,以保证功率表本身的功率损耗对测量结果的影响比较小。

电压线圈前接方式如图4-13(a)所示。电压线圈前接方式适用于负载电阻比功率表电流线圈电阻大得多的情况。

(a)电压线圈前接法

(b)电压线圈后接法

图4-13 功率表的接线方法

③要正确读数。可携式功率表一般都是多量程的,其标度尺上只标注分格常数,而不标瓦特数。读数时,应先根据所选的电压、电流量程及标度尺满刻度格数,求出每格瓦特数(又称功率表的分格常数C),然后再乘上指针偏转的格数,即可得到所测功率的瓦特数。

功率表的分格常数C的计算为:

式中 C——功率表的分格常数(W/格);

UN——所选的功率表电压量程(V);

IN——所选的功率表电流量程(A);

am——功率表标度尺满刻度格数。

被测功率的计算为:

P=C·a (4-22)

式中 a——指针偏转的格数。

[例4-9] 若选用一只功率表,它的电压量程为300V、电流量程为2A,标度尺满刻度格数为200格,用它测量某负载消耗的功率时,指针偏转了150格。求负载消耗的功率。

[解] 功率表的分格常数

安装式功率表通常都做成单量程的,其电压量程为100V,电流量程为5A,以便和电压互感器及电流互感器配套使用。为了便于读数,安装式功率表的标度尺可以按被测功率的实际值加以标注,但是必须和指定变比的仪用互感器配套使用。

(2)单相交流电路功率的测量

单相交流电路的功率计算为:

P=UIcosφ (4-23)

式中 U——负载电压的有效值(V);

I——负载电流的有效值(A);

φ——负载电压和负载电流之间的相位差(°或rad);

P——被测功率(W)。

当cosφ=1,则P=UI,即交流电路为纯电阻电路时,可用交流电流、电压表法测功率。

当cosφ≠1,即交流电路不是纯电阻电路时,必须用功率表测功率。

电动系仪表的测量机构在测量交流时,指针偏转角的大小是正比于负载有功功率(UIcosφ)的,因此电动系功率表可以直接测量单相交流电路的功率,其注意问题与测量直流电路的功率时基本相同。

(3)三相交流电路有功功率的测量

测量三相交流电路有功功率时,一般利用单相功率表组成-表法、二表法和三表法进行测量。

①一表法测三相对称负载的有功功率。图4-14(a)为测量三相星(丫)形连接对称负载有功功率的接线图,图4-14(b)为测量三角(△)形连接负载有功功率的接线圈。当星形连接负载的中点不能引出或三角形连接负载的一相不能拆开接线时,可采用

图4-14(c)所示的人工中点法,将功率表接入电路。

(a)丫接对称负载

(b)△接对称负载

(c)人工中点法

图4-14 一表法测三相对称负载功率

三相对称负载,无论是在三相三线制,还是在三相四线制电路中,都可以用一只功率表来测有功功率。根据三相对称负载各相有功功率都相等的特点,只要测出一相的有功功率,再将功率的读数乘以三倍就是三相总有功功率,即:

P=3P1 (4-24)

式中 P——三相负载总有功功率(W);

P1——功率表所测有功功率(W)。

②两表法测三相三线制负载的有功功率。图4-15为两表法测三相三线制负载有功功率的接线图。在三相三线制中,不论负载对称还是不对称,其三相负载的有功功率都可用两表法来测量。三相负载的总有功功率为两功率表读数的代数和,即:

图4-15 两表法测三相三线制功率

P=P1±P2 (4-25)

式中 P——三相负载的总有功功率(W);P1、P2——各功率表所测功率(W)。

上式中“-”表示当某一功率表指针反偏时,将电流线圈反接后,总有功功率为两表所示功率之差。

③三表法测三相四线制不对称负载的有功功率。图4-16为三表法测三相四线制不对称负载有功功率的接线图。图中三只单相功率表分别测出各相功率,三表读数之和就是三相负载的总有功功率。即:

图4-16 三表法测三相四线制不对称负载功率

P=P1+P2+P3 (4-26)

式中 P——三相负载的总有功功率(W);P1、P2、P3——各功率表所测有功功率(W)。

随便看

 

离鸟网收录3541549条中英文词条,其功能与新华字典、现代汉语词典、牛津高阶英汉词典等各类中英文词典类似,基本涵盖了全部常用中英文字词句的读音、释义及用法,是语言学习和写作的有利工具。

 

Copyright © 2004-2024 vtrois.com All Rights Reserved
更新时间:2026/4/20 21:43:04