网站首页  词典首页


请输入您要查询的字词:

 

字词 电渗析
类别 中英文字词句释义及详细解析
释义

电渗析


(一)电渗析理论

1.电渗析脱盐原理

电渗析是利用离子交换膜的选择透过性,在直流电场作用下,以电位差为动力从溶液中分离电解质,从而使溶液淡化或浓缩、精制和纯化。例如将阴阳离子交换膜交替排列于正负两极之间,并用隔板将其隔开,在膜的两侧形成脱盐(淡化)室和浓缩室。当向隔室通入盐水后,在直流电场作用下,阳离子向阴极迁移,阴离子向阳极迁移。由于离子交换膜的选择透过性,阳离子通过阳离子交换膜、阴离子通过阴离子交换膜,从而使原水或溶液的阴阳离子在隔室中发生迁移,使淡室中的盐水淡化,浓室中的盐水浓缩,从而达到盐水软化和脱盐的目的。

电渗析使用的离子交换膜其原理与离子交换树脂相同,离子交换树脂是选择性吸附离子,离子交换膜是选择性透过离子,因此与离交树脂不同,离交膜不需要再生,具有连续操作和高浓度处理的优点。

以食盐水为例的电渗析脱盐原理如图1-1-24所示,通入C部的食盐水,Na+被阴离子吸引,向阴离子交换膜的方向移动,但不能透过阴离子交换膜;而Cl向阳离子交换膜移动但也不能透过,结果Na+、Cl都留于C部。另外通入D部的NaCl,其Na+可透过阳离子交换膜进入C部,Cl透过阴离子膜也进入C部,成为浓缩室,其间Na+、Cl增加,盐水被浓缩,而D部成为脱盐室或淡化室,其间Na+、Cl被去除,原水得到脱盐软化。

图1-1-24 电渗析脱盐原理图

A-阴离子交换膜 B-阳离子交换膜 C-浓室 D-淡室 E-极室

2.通过膜的物质迁移

当向有电解质水溶液的膜间通电时,膜中电位梯度dΦ/dx,离子i的浓度梯度和溶液的对流速度v成为驱动力,产生离子电泳、扩散和对流,这时透过膜的离子i的通量可用下式表示:

(41)

式中 Zi——离子i的电荷

——膜中离子i的浓度

——膜中离子i的迁移度

F——法拉第常数

R——气体常数

T——绝对温度

另一方面,单位时间透过单位膜面积的溶质(电解质)迁移量m(流速指数)和液体迁移量(体积通量)q分别为:

式中 △c——膜两侧电解质的浓度差

——膜选择透过离子的迁移率

Ds——溶质扩散系数

Dw——浓度渗透系数

β——电渗析系数

(二)电渗析膜

1.电渗析膜种类

电渗析膜通称离子交换膜,是一种半透膜。一般在其高分子结构中引入离解性较强的固定电荷,因此其特征具有高的导电性、离子选择透过性和溶液的隔离性等机能。离子交换膜的种类繁多,按结构和特性与用途的分类如下。

(1)按膜的结构分类

①异相膜:是离子交换剂粉末和黏合剂混合加工成的薄膜,由于膜的结构不连续,故称异相膜或非均相膜。这类膜制造容易,价格低廉,但一般选择性较差,膜电阻也大。

②均相膜:是膜的活性基团与成膜高分子材料发生化学结合,交换基团分布均匀,具有优良的电化学性能和物理性能,是近年来离子交换膜的主要发展方向。

均相膜分为缩合膜和聚合膜,聚合膜包括共聚膜和接枝聚合膜。主要均相膜有苯酚、甲醛系缩合膜以及苯乙烯、丁二烯系膜。主流膜为苯乙烯、二乙烯基苯系与乙烯氮苯等三维交联结构的聚合膜。另外还有在聚烯烃等薄膜中用放射线等引入官能基用单体,进行接枝聚合的膜。

(2)按活性基团和用途分类

①阳离子透过膜(阳膜):膜体中带有负电荷的酸性基团,仅能透过阳离子,主要有磺基(-SO3H)、磷基(-PO3H2)、羧基(-COOH)、酚基(-C6H4OH)和砜基等。

②阴离子透过膜(阴膜):膜体中带有正电荷的碱性活性基团,仅能选择性透过阴离子,主要有季胺基[-N(CH3)3OH]、伯胺基(-(NH2)、仲胺基(-NHR)和叔胺基(-NR2)等。

③特种膜:由阴、阳离子活性基团在一张膜内均匀分布的两性离子交换膜(两性膜)、带正电荷与带负电荷的两种膜贴合在一起的反合离子交换膜(两极膜)、还有在阳膜或阴膜表面涂布阴或阳离子交换树脂的表面涂层膜,以及耐水生物污垢(Fouling)膜等,作为特种离子选择透过性膜或特殊用途膜。

2.电渗析膜一般特性

离子交换膜的基本特性依赖于高分子结构中固定的离解基的性质。电导性与固定离解基的离解度、密度和膜的含水量有关。

在膜的设计阶段,除考虑机械强度、尺寸稳定性等其他特性外,还应设定提高固定离解基浓度的膜材料组成和制膜条件。

电渗析中膜内物质迁移的特性,有溶质的迁移率和扩散,以及有关水的电渗析和渗透。从工程来说,导电性是关系电力消耗的重要特性。除上述固定离解基浓度外,膜的均匀性对膜的特性也有很大影响。目前工业规模用的离子交换膜的特性见表1-1-41。

表1-1-41 离子交换膜的特性

注:为在0.5mol/L NaCl中常温测定的结果。

工业用电渗析膜有各种尺寸,其中包括2m2以上的大型膜。工业用电渗析膜的主要性能见表1-1-42。我国和国外主要商品离子交换膜的规格及性能分别见表1-1-43和表1-1-44。

表1-1-42 工业用离子交换膜主要性能

注:①干燥膜测定值。

②用0.1mol/L NaCl溶液的电渗析。

③根据0.5mol/L NaCl/1.0mol/L NaCl下的膜电位。

④0.5mol/L NaCI,常温。

表1-1-43 我国部分离子交换膜性能

表1-1-44 国外部分商品离子交换膜性能

(三)电渗析膜的性能评价

电渗析用于多种领域,膜的使用条件根据使用目的而异,因此膜性能评价法的具体条件决定于膜的使用目的。评论离子交换膜的性能特性值如下。

1.电阻

与电渗析所需电能直接相关,电阻R(Ω)和膜面积s(cm2),厚度d(cm)和电阻率ρ(Ω·m)的关系为:

R=ρd/s (43)

电阻率为膜的特性值,相当于d=1cm,s=1cm2时的电阻R。膜的电阻多以有效电阻R=ρd(Ω·cm2)表示,这是面积为1cm2膜的电阻R。

2.交换容量与含水率

膜是交联的高分子电解质,在水溶液中吸水后成为凝胶结构。作为膜特性值的含水率(w)是指在纯水中平衡的每1g湿润膜的含水量(gH2O/g湿膜)。交换容量(AR)通常用每1g干膜中所含的交换基毫摩尔(mmol/g干膜)表示,交换容量除以每1g干膜的含水量就是交换基浓度cR(mmol/gH2O)。

3.迁移率

将膜浸于电解质水溶液中时,膜内的对立离子量远远超过非对立离子量,当电流通过膜时,大部分电流用于对立离子的迁移。迁移率(E)表示膜对异性离子的选择透过性,是膜中的对立离子迁移量与对立离子和非对立离子总量的比率(摩尔分数)。迁移率有表观迁移率和真实迁移率,表观迁移率比真实迁移率小。多数场合使用容易测定的表观迁移率,但在进行严密研究时,需要预先求出真实迁移率。

(1)表观迁移率 膜两面与浓度不同的电解质水溶液接触时,由于对立离子和非对立离子对膜的透过性不同,因此在膜两侧产生电位差(浓淡电位),为此,表观迁移率可用下式表示:

(44)

式中 b=0.05916lg(a1/a2)

a1/a2为两室NaCl的电解质活量

(2)真实迁移率

阳离子交换膜的迁移率

阴离子交换膜的迁移率

式中a为通电前脱盐室中Cl的定量值(mmol);b为通电后脱盐室中Cl的定量值(mmol)。

用阳离子交换膜时,通电后脱盐室内的NaCl浓度降低,浓缩室的NaCl浓度上升,两室间产生浓度差。因此预先使脱盐室的NaCl浓度高于0.5mol/L,浓缩室NaCl浓度低于0.5mol/L,在通电时两室浓度差发生逆转,在测定时间内两室间的平均浓度差几乎为零。阴离子交换膜在通电时浓度变化较小,不必预先调整。

(3)电解质扩散系数 置于电解质水溶液中厚度为d的膜,其两侧存在浓度差△c时,电解质离子就会从高浓度侧向低浓度的一侧扩散,这种情况下的单位膜面积的离子迁移量m服从裴克(Fick)扩散方程式:

m=DsΔc/d(45)

式中Ds为溶质扩散系数,通常测定厚度为d的Ds

Ds/d=1.875a(cm/h)

式中a为稀溶液室溶液的浓度。

(4)水的电渗析系数 在电流密度为I,离子通过膜迁移时,与离子一起,电渗析产生水的移动,单位时间、单位膜面积内水的移动量为q=βI,式中β为电渗析系数,根据测定的某一时间渗透液的增加量acm3,可求出β。

β=a×102/S(cm3/A·h) (46)

式中 S——有效膜面积

(5)浓度渗透系数 膜两侧存在电解质浓度差△c时,渗透压差使水从稀薄一侧向浓厚一侧渗透,单位膜面积的渗透水量q为:

q=DwΔc/d

式中,d为膜厚,Dw为浓度渗透系数,根据某一时间溶液减少量a(cm3),可用下式求出Dw

Dw/d=a×103/4S(cm4/h·mo1) (47)

(四)电渗析法的特征与使用范围

目前电渗析主要用于电解质溶液的浓缩和脱盐,非电解质和电解质的分离等,所有这些都是通过离子交换膜进行电解质透过分离的。电渗析法基本上就是以电解质、非电解质和水的物质迁移为对象进行研究的。

在电渗析物质移动中,电解质作为离子,每1mol的电解质要伴随10~15mol的水透过膜。非电解质不随水移动,因为是在膜的微孔受到立体阻碍而进行扩散的,因此电渗析有以下特征:

①电解质溶液根据条件可以浓缩至20%或以上的浓度。

②非电解质几乎不透过,共存的电解质可以分离90%以上。

③以脱盐为目的的场合,盐的残留浓度希望在500mg/L以下。

④可在常温下,在不发生相变或pH不变化的情况下进行处理,不会发生溶质的热变性或其他变化。

⑤用于稀薄溶液的处理较其他方法节能。

考虑以上特征,电渗析具体的适用范围如下:

①原液的电解质浓度:适用于从0.1%以下低浓度至溶解度范围内的高浓度。

②脱盐后的浓度:从经济观点出发,脱盐后的浓度一般以102mg/L以下为佳。

③浓缩浓度:浓缩浓度一般在原液电解质浓度的10~100倍范围内有利,根据条件可以浓缩至20%或以上的浓度。

电渗析方法一般以中性的强电解质为对象,部分还用于有机酸或有机电解质的盐。

电渗析在水处理方面的应用范围见表1-1-45。在饮料生产中主要用于水的软化和初级纯水的制备。电渗析纯水制备的方式视原水水质而定,一般采用“预处理-电渗析”,或“预处理-电渗析-离子交换”系统,预处理也根据水质情况选择不同方法,详见表1-1-47。

表1-1-45 电渗析的应用范围

电渗析除用于水处理外,还用于浓缩、脱盐和化学反应,主要是牛乳和糖浆的脱盐,酶和维生素类的脱盐精制。氨基酸精制和果汁酸味调整(化学反应),以及海水浓缩制盐、废水中有用盐类的回收和废水脱盐再利用等。

(五)电渗析装置

1.电渗析装置的组装形式

电渗析装置由离子交换膜、隔板、极板和夹紧装置等组成,电渗析装置常用术语如下:

①膜对:由阴膜、阳膜各1张,甲、乙隔板各1级组成。膜对构成的一个淡水室和一个浓水室成为电渗析器的基本脱盐单元。

②膜堆:由若干阴、阳膜及隔板组成的1段或1级间的膜对。

③级:电渗析器的电极对数,一对电极之间的膜堆称为一级。

④段:浓、淡水隔板水流方向相同的膜对称为一段。水流方向每改变一次,段数就增加1个。

⑤台:用夹紧装置将各部件组成一个电渗析器,称为一台。

电渗析膜堆可采用并联或串联的组装方式,并联连接时水流同向通过膜堆;串联时水流由前一膜堆出来并改变方向进入后一膜堆。一台电渗析器是由几百个膜对组成的,在膜对总数不变的情况下,增加级数可降低操作电压,增加段数可增加脱盐流程,提高脱盐率,但软化水的产量相应减少。电渗析可采用1级1段、1级多段,多级1段,多级多段等各不相同的组装形式,可根据水质要求和产水量或其他用途进行选择。

与离子交换树脂脱盐场合相反,在用离子交换膜进行电渗析的过程中,1价离子较多价离子容易迁移,因此1价离子容易去除。另外在用电渗析进行脱盐处理的最初阶段,磷酸盐或柠檬酸盐较少以溶解状态存在,因此钠、钾、氯等的表观脱盐速度比钙、镁、磷酸盐和柠檬酸盐高。通过膜和组装形式的选择可使脱盐达到理想状态。

2.电渗析装置的类型

(1)紧固型 由离子交换膜与隔板相互交错重叠在一起,构成淡化室和浓缩室,并将电极设在两端,如压滤机一样,从两端锁紧固定而成,因此又称压滤型。紧固型有垂直型和水平型两种,由于膜之间夹有隔板和隔网,避免膜之间相互接触,又能防止浓差极化。

(2)水槽型 由单元槽和隔板交替排列组装而成,水槽两端设置极室。原水在流经单槽之间的过程中,通过直流电场作用,使离子浓缩于槽中,而被浓缩的盐水则通过设在各单元槽的浓水出口排出,由于浓缩液不能循环,水槽型电渗析器用于除盐目的是不适合的。

根据操作方式电渗析装置可分为间歇式和连续式两种,连续式又分一次通过式和部分循环式。连续式有1级法和多台串联配置的多级法(2级以上),一般小规模多用间歇式。电渗析装置组成如图1-1-25所示。

图1-1-25 电渗析装置

3.电渗析装置运行工艺参数

(1)物质迁移与电流密度 膜的物质迁移是由膜的特性、溶液的性状和负荷的电流密度等决定的,一般由下式计算:

式中,m、v为单位时间、单位膜面积的电解质和水的迁移量,m在0.33~0.90范围内。

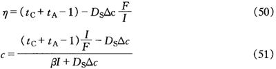
由式(48)、(49)可得电流效率η和浓缩液达到的浓度c的表达式:

式中 tA、tc——选择透过离子的迁移率

β——水的电渗析系数

Ds——电解质扩散系数

Dw——水的渗透系数

I——电流密度

c——膜两侧的浓度差

F——法拉第常数

电解质迁移时,为了提高单位面积迁移量,同时提高电流效率,希望提高电流密度。其上限值是膜面浓差极化的极限电流密度,用下式表示:

式中 IL——极限电流密度

D——电解质扩散系数

c——脱盐室电解质浓度

tM、tL——膜内和液相的选择透过离子的迁移率

δ——膜面的境膜厚度

为了使实际的电渗析槽具有高的电流密度,设计时必须降低透过压损,保持高的透过线速度和均匀的流速分布。一般极限电流密度可以整理成膜面线速度u函数的经验公式:

在实用规模的电渗析槽中,常温下的膜面线速度约5cm/s,式(53)左边项在20~40A/dm2·N范围内,而且对于流速的幂b值一般在0.7~1.0范围内。

实际使用的电流密度按式(53)的值乘以由液相组成和液温等决定的系数。

(2)流速与压力的确定 电渗析器都有各自的额定流量,流量过大,进水压力过高,设备容易产生泄漏和变形。流量过小,达不到正常流速时,会使水中的微量悬浊物沉积在膜上,使水流压力升高。而且流速达不到紊流状态时,易造成滞留层过厚,产生浓差极化结垢,降低电渗析脱盐效率。流速过低还会使隔板室内水流不均匀,也会引起极化结垢,影响电渗析的正常运行。电渗析隔室内的流速一般控制在5~25cm/s,进水压力不超过0.3MPa。

4.设备计算

电渗析设备的设计内容包括运行方法、电渗析配置(段、级)、电渗析槽膜面积、直流电负荷条件及液体的循环条件。

(1)连续式

①进出口电解质浓度比ci/c0:如图1-1-26所示,单级电渗析槽脱盐室进行液相循环的场合,进口与出口的电解质浓度比ci/c0为电流密度和膜面线速度的函数,用公式表示如下:

图1-1-26 单级电渗析槽

式中 η——脱盐的电流效率

Id——电流密度

L——电渗析槽内膜面的流道长度

u——膜面线速度

d——脱盐室膜间距

②级数与膜面积:如图1-1-27所示,采用部分循环的多级电渗析器所需级数n,和每级的膜面积A,可分别按式(55)和式(56)求出:

图1-1-27 部分循环式多级电渗析器

式中 cF、cp——分别为原液和处理液的电解质浓度

QR、QF——分别为各级循环的流量和原液进料量

计算过程中可以按(55)式或(61)式求出最佳的脱盐电流效率η,当η为某一整数,且QR=QF时,可以将电渗析设计成一次通过式。

③台数与膜数:由各级电渗析器所需的膜面积可求出电渗析器的台数、每台电渗析器的膜数等,进而可以计算流量、直流功率和其他操作条件。

由式(55)可得到计算循环流量(即淡水流量)QR的公式如下:

在实际计算时,可以组合线速度u和级数n多个数值以求出最佳条件。各级所需膜数M可由下式求出:

M=QR/u·w·d=A/L·w (58)

式中 w——电渗析槽流道宽度

若每一台电渗析器最多装入膜数m,则各级电渗析器的台数s为:

s=M/m

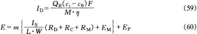
④操作条件:由各级电渗析器的进出口浓度及平均值,可计算负载电流ID与电压E。

式中 RD、Rc、RM——分别为脱盐室、浓缩室和膜的电阻

EM——单元槽的膜电位

Ep——电极电压

(2)间歇式

①膜面积:在已知溶液进料量、处理前后电解质的浓度,可由下式求出所需膜面积:

式中

与连续式一样可求出电渗析的台数、膜数,并进而求出循环流量和直流功率等条件。

②操作条件:间歇式是在一定电压下进行的,操作开始时电流最大,随着操作的进行,盐浓度降低,电流变小,每台电渗析器的最大电流Imax为:

脱盐液的循环流量QR=b·d·u·M (63)

式中 b——脱盐室流道宽度

5.电渗析器脱盐率

电渗析除盐效果可用脱盐率(f)表示,脱盐率是通过电渗析处理后,水中去除的盐量对原水含盐量的百分比,可以利用电阻仪测定原水和淡水的导电率、电阻,经计算或查表,求得相应的含盐量后用下式计算:

式中 c0——原水含盐量(mmol/L)

c1——淡水含盐量(mmol/L)

脱盐率根据水温不同进行修正,温度换算系数ft=1+0.002(t-25),电渗析器工作温度一般在35℃以下。当脱盐率降低超过规定范围时应检查原因,排除故障。

6.电渗析器使用注意事项

(1)原水预处理 电渗析的效果与原水水质密切相关,为了提高电渗析的效果,原水水质应符合表1-1-46要求,当原水污染严重不符合表中条件时,应对原水进行预处理,常用的预处理方法参见表1-1-47。

表1-1-46 电渗析对原水水质的要求

(2)维护与保养

①及时除垢:在电渗析运行过程中,浓水室一侧的阴膜和阳膜上会出现结垢现象,结垢会减少离子交换膜的有效使用面积,增加膜的电阻,加大电能消耗及降低膜的使用寿命。消除结垢的方法有:

a.倒换电极:即运行一定时间后把阴极改为阳极,阳极改为阴极。可使沉淀消除,倒换时间一般2~8h,倒换电极后5~10min淡水出口水质下降,需待水质合格再使用。

b.定期酸洗:采用浓度不超过3%的盐酸循环冲洗,酸洗周期视结垢情况而定,一般1~2个月一次。酸洗时间2~3h,使pH达3~4。

c.碱洗:当水中含有机杂质时,在阴膜的淡水室一侧析出沉淀物,造成阴膜污染,因此一般每隔几个月需用0.1mol/L的NaOH溶液清洗。

②定期拆洗:每隔6~12个月拆机一次,彻底消除水垢及污物。

③暂时停止运行时,应定期通水:每周2~3次,保持膜堆处于湿润状态,防止离子交换膜干缩变形。通水前应将管路冲洗一次,以排除因停机产生管路内的污染,至水清后再进行通水,一般3~5min即可。同时保持室内温度不得低于10℃,膜堆周围不得存放工具杂物。

④较长时间(例如1个月以上)停用时,应将本体拆卸后保养:将膜表面清洗干净,如膜面污物较多,可用1%~3%的盐酸溶液浸泡数小时,再用清水冲洗至无酸性,置阴凉通风处晾干存放,也可置于水中存放,但不应放在死水中,应定期冲洗,换水。夏季要防止发霉,冬季要防止冻裂(温度10~15℃),不得于阳光下暴晒,存放时切忌折叠。

⑤将隔板、电极等洗刷干净,堆放整齐:在装、拆、洗时,应注意保护好水路接管,禁止敲打。水泵、流量计中的水要放尽,螺母、螺杆上油保养,整流器及其他仪器、仪表要注意防尘、防潮。

随便看

 

离鸟网收录3541549条中英文词条,其功能与新华字典、现代汉语词典、牛津高阶英汉词典等各类中英文词典类似,基本涵盖了全部常用中英文字词句的读音、释义及用法,是语言学习和写作的有利工具。

 

Copyright © 2004-2024 vtrois.com All Rights Reserved
更新时间:2026/4/20 11:45:11