网站首页  词典首页


请输入您要查询的字词:

 

字词 电动机调速控制线路计算
类别 中英文字词句释义及详细解析
释义

电动机调速控制线路计算


1.调速系统主要技术指标的计算

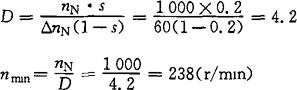
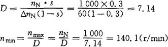
(1)调速范围D

在额定功率PN、额定转矩TN条件下,电动机的最高转速nmax与最低转速nmin之比,称为调速范围,即

(2)静差度s

式中 n0——电动机理想空载转速;

nN——电动机额定转速。

(3)D、s、nmax、△nN四者关系

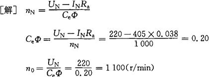
[例5-15] B2012A型龙门刨床的主电动机的额定功率PN=60kW,额定电压UN=220V,额定电流IN=405A,电枢绕组电阻Ra=0.038Ω,额定转速nN=1000r/min,采用改变电枢电压调速,能否满足调速范围D=10,最大静差度smax≤0.1的技术要求?若要满足上述要求,则电动机在额定负载下的转速降落△nN值应为多少?

故不满足smax≤0.1的要求。

如果要满足smax≤0.1和D=10的要求,则

[例5-16] 某调速系统中的电动机的nN=1000r/min,△nN=60r/min,要求s<0.3及s<0.2,试求D和nmin

[解] ①s<0.3

②s<0.2

2.直流电动机转速计算

(1)一般计算公式

式中 n——直流电动机转速(r/min);

U——电源电压(V);

R——电枢电路电阻(Ω);

Φ——磁通(Wb);

T——电磁转矩,T=T2+T0(N·m);

T2——电动机输出转矩(N·m);

T0——电动机空载转矩(N·m);

Ke、KT——电机结构常数;

——等于电动机空载转速n0(r/mm)。

(2)他励直流电动机转速计算

①电枢电路串电阻RW(图5-8)调速

图5-8

式中 n——转速(r/min);——电枢绕组电阻(Ω)。

②电枢电路串并电阻(见图5-9)调速

图5-9

式中 K——系数,

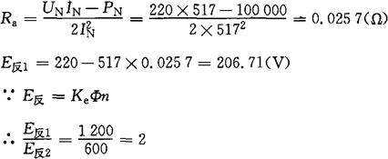
[例5-17] 有一台100kW他励直流电动机,IN=517A,UN=220V,nN=1200r/min,这台电动机带动恒转矩负载运行,用电枢电路串电阻的方法调速,如果将转速调到600r/min,试问在电枢电路中应串多大电阻RW。

[解] 当n=600r/min时,电动机在UN、IN下运行,这时电枢电路电压平衡方程为

UN=E反2+IN(Ra+Rw)

当未串电阻时,nN=1200r/min,这时电压平衡方程为

UN=E反1+INRa

E反1=UN-INRa

由式(5-49)可知:

Rw=0.225-Ra=0.225-0.0257=0.199(Ω)

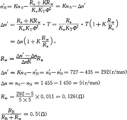
[例5-18] 有一台他励直流电动机,PN=26kW,IN=113A,UN=230V,nN=1450r/min,这台电动机带动恒转矩负载额定运行,为了使机械特性硬度提高,故采用电枢电路串并联电阻的办法调速,如果要使理想空载转速变为未串调速电阻的空载转速n0的二分之一,即,以及在额定负载时

的转速n′N为未串调速电阻时额定负载下的转速nN的0.3倍,即n′N=0.3nN,求串并联的电阻值RW、RB

[解] 如图5-9所示。

未串电阻前,

串并电阻后,

③改变电枢电压U调速

式中 A——常数,

B——常数,

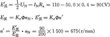
[例5-19] 有一台他励电动机,PN=10kW,nN=1500r/min,UN=220V,IN=50.0A,Ra=0.4Ω,今将电枢电压降低一半,而负载转矩不变,励磁电流不变,问转速降低多少?

[解] 由T=KTΦIa可知,T、Φ不变,Ia保持不变。

当电压为UN时,

E=UN-INRa=220-50.0×0.4=200(V)

当电压为时,

转速降低

△n=nN-n′=1500-675=825(r/min)

④改变励磁磁通Φ调速(图5-10)

图5-10

此调速一般用于恒功率负载,使电枢电流Ia不变,则

式中 IN——电枢额定电流,IN=Ia

[例5-20] 有一台他励直流电动机的容量为19kW,UN=230V,IN=82.5A,nN=900r/min,Ra=0.1Ω,励磁额定电压UfN=220V,励磁额定电流IfN=3.13A,现要使电动机在拖动恒功率负载下运行,调速范围在500~960r/min之间。试问可变电阻Rf变化范围。

[解] 磁通变化范围

即Φ变化范围是:ΦN~1.92ΦN

如果不考虑励磁绕组电阻,则

Φ正比于If,当Φ=ΦN时,

Φ=1.92ΦN时,

则励磁回路电阻Rf变化范围是39.0~70.3Ω。

3.直流电动机调速时功率和转矩计算

(1)他励直流电动机的转矩T与功率P的关系

式中 T——转矩(N·m);

n——转速(r/min)。

(2)调压调速时功率和转矩计算

这里的调压,包括调电源电压及电枢串电阻。

①恒转矩负载(T=TN=常数)

式中 PN——电动机额定输出功率(kW);

TN——额定转矩(N·m);

nN——额定转速(r/min)。

当转速改变到n时,因为T=TN=常数,即有

式中 K——常数,

②恒功率负载(P=PN=常数)

式中 K2——常数,K2=9 550PN

[例5-21] B2012A型龙门刨床,其最高切削速度vmax=90m/min,最大切削力Fmax=40000N,试计算电动机输出功率P2及电动机额定功率PN

式中,vx是在恒功率切削区的最低切削速度,称为计算速度,B2012A龙门刨床的vx=12~15m/min,取,得

电动机额定功率一般按下式选取:

PN=DP2 (5-63)

式中 D——调速范围,

nmax——负载要求的最高转速(r/min);

nmin——负载要求的最低转速(r/mm);

P2——负载功率(kW)。

(3)调磁调速时功率和转矩计算

调Φ调速一般用于恒功率负载,即P2=PN=常数。如果调Φ调速用于恒转矩负载,电动机的PN

式中 T2——负载转矩(N·m);

nmax——负载最高转速(r/min)。

对恒功率负载,转矩T按式(5-62)计算。

4.三相异步电动机转速计算

式中 n——转子转速(r/min);

n1——旋转磁场转速,又称同步转速(r/min);

f——交流电源频率(Hz);

p——旋转磁场的磁极对数;

s——转差率。

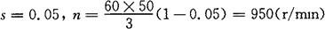
[例5-22] 有一台三相异步电动机的磁极对数为3,三相电源的频率f=50Hz,转差率s变化范围是1~0.05,试求转子转速变化范围。

则电动机转子转速变化范围是:0~950r/min。

5.三相异步电动机变极调速计算

(1)恒转矩负载调速(丫-丫丫变换)

①丫接法(见图5-11)

图5-11

电源输入功率:

式中 ψp丫——丫接法时每相电压和电流的相位差。

电机定子每半相绕组两端电压为

②丫丫接法(图5-12)

图5-12

电源输入功率:

式中 Ip——流入半相绕组上的电流(A);

ψp丫丫——丫丫接法时每相电压和电流的相位差。

电机定子每半相绕组两端电压为

(2)恒功率负载调速(△-丫丫变换)

①△形接法(图5-13)

图5-13

电源输入功率为

P=3U1I1cosψp△

比较式(5-67)及式(5-68),得:

cosψp△≈cosψp丫丫

②△和丫丫接法转速和转矩的关系

随便看

 

离鸟网收录3541549条中英文词条,其功能与新华字典、现代汉语词典、牛津高阶英汉词典等各类中英文词典类似,基本涵盖了全部常用中英文字词句的读音、释义及用法,是语言学习和写作的有利工具。

 

Copyright © 2004-2024 vtrois.com All Rights Reserved
更新时间:2026/4/19 14:35:19