网站首页  词典首页


请输入您要查询的字词:

 

字词 电动机制动控制线路计算
类别 中英文字词句释义及详细解析
释义

电动机制动控制线路计算


1.反接制动电阻计算

(1)三相定子绕组串对称制动电阻

每相串联的电阻为

式中 K——系数,要求最大的反接制动电流不超过全电压启动电流时,K取1.3;如果要求最大的反接制动电流不超过全电压启动电流的一半时,K取1.5;

Up——全电压启动定子绕组相电压(V);

Ist——全电压启动电流(A)。

(2)三相定子绕组中两相串制动电阻

每相串联的电阻是式5-42计算值的1.5倍。

(3)反接制动电阻的功率P

(5-43)

式中 IN——电动机额定电流(A);

R——每相串联的制动电阻(Ω)。

实际选用时,如果仅用于制动,而且不频繁反接制动,可选用计算值的1/4;如果又用于限制启动电流,并且电动机较为频繁启动,选用电阻功率为计算值的

[例5-13] 一台Y200L三相笼型异步电动机,PN=30kW,IN=60A,UN=380V,丫接法,要求反接制动电流的最大值(全电压启动电流),采用串接对称制动电阻,试计算反接制动电阻。如果两相串制动电阻,求制动电阻。

[解] 由有关产品手册查得

Ist=7IN=7×60=420(A)

取K=1.5,

电阻功率:

取计算值的四分之一,即取0.7kW。

如果两相串制动电阻,制动电阻:

R=0.786×1.5=1.18(Ω)

电阻功率:

P=602×1.18=4248(W),取4.5kW

2.三相异步电动机能耗制动控制线路计算

能耗制动所需要的直流电压和直流电流的计算与定子绕组接法有关,表5-4表示能耗制动直流电压Ud和直流电流Id的计算,表中Rd是电动机定子绕组两根进线通直流电流的直流电阻,R1是一相定子绕组的直流电阻,I1是定子绕组相电流的有效值(可由IN求得)。

表5-4 制动的直流电压、直流电流计算

[例5-14] 图5-4是能耗制动电气控制线路,电动机的PN=13kW,UN=380V,IN=9.7A,丫接法,制动电流通过两相定子绕组,另一相定子绕组悬空,如图5-5所示,测得每相绕组的电阻为0.32Ω,试计算直流电源的电压Ud、制动的直流电流Id及桥式整流电路各元器件的规格。

图5-4

图5-5

[解] ①计算Id、Rd、Ud

I1=IN=9.7(A)

Id=1.22I1=1.22×9.7=11.83(A)

Rd=2R1=2×0.32=0.64(Ω)

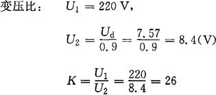
Ud=2.44I1R1=2.44×9.7×0.32=7.57(V)

②变压器的计算

变压器二次侧电流有效值:

I2=1.11Id=1.11×11.83=13(A)

变压器容量:

S=I2U2=13×8.4=110(W)

实际选用时,变压器容量允许比计算值小,如果制动频繁场合,取计算值的,制动不频繁场合,取计算值的

③半导体二极管的选择计算

反向电压的峰值:

正向电流:

由UDR和ID选择半导体二极管。选ZP10硅整流二极管。

对星形连接、二相定子绕组串联通直流能耗制动,可用下面经验公式近似计算:

Ud=IdR (5-44)

Id=(3.5~4)I0 (5-45)

或 Id=1.5IN (5-46)

式中 Ud——直流电压(V);

Id——直流电流(A);

I0——电动机空载线电流(A);

R——两相定子绕组串联后总电阻(Ω);

IN——电动机额定电流(A)。

3.他励直流电动机制动电阻计算

(1)能耗制动(图5-6)

图5-6

式中 UN——电动机额定电压(V);

IN——电动机额定电流(A);

Ra——电枢绕组电阻(Ω)。

(2)反接制动(图5-7)

图5-7

式(5-47)及式(5-48)中的电枢绕组电阻Ra可用伏安法测出,也可用下面经验公式计算:

式中 PN——电动机额定功率(W)。

随便看

 

离鸟网收录3541549条中英文词条,其功能与新华字典、现代汉语词典、牛津高阶英汉词典等各类中英文词典类似,基本涵盖了全部常用中英文字词句的读音、释义及用法,是语言学习和写作的有利工具。

 

Copyright © 2004-2024 vtrois.com All Rights Reserved
更新时间:2026/4/22 0:10:37