别名 甲酸3,7-二甲基-6-辛烯-1-醇酯
编码 GB I1388;FEMA 2314
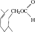
化学结构

C11H20O2 相对分子质量 184.28
性状 无色油状液体,沸点235℃,闪点92℃。不溶于水,易溶于乙醇中。
制法 以香茅醇和甲酸直接酯化制得。
质量标准


鉴别方法
(1)取本品1mL,加10%氢氧化钾乙醇试液10mL,在水浴中边摇混边加热5min时,其特有的香气消失,产生香茅醇香气。
(2)采用“甲酸香叶酯”的鉴别试验(2)。
毒理学依据
GRAS FEMA 2314;FDA 172.515。
使用
使用范围及使用量
(1)我国《食品添加剂使用卫生标准》(GB 2760-1996)规定:可按生产需要适量用于配制各种食品香精。
(2)FEMA规定:最高参考用量为软饮料,14mg/kg;冰淇淋、冰制食品,13mg/kg;糖果,19mg/kg;焙烤食品,32mg/kg;口香糖,63~100mg/kg。
(3)实际使用参考:在食用香精中应用,可与兔耳草醛同用于黄瓜等香型。用于蜜香型,可使苯乙酸气清鲜。苹果、杏子、甜橙、桃子、梅子、李子等香精都可应用。