网站首页  词典首页


请输入您要查询的字词:

 

字词 甲基纤维素
类别 中英文字词句释义及详细解析
释义

甲基纤维素


别名 纤维素甲醚、MC

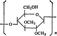
结构式

n=纤维素的聚合度

性能 白色颗粒或粉末,无嗅无味。约300℃对光和热仍稳定。能溶于冰醋酸,缓溶子冷水并膨胀成透明粘性胶状溶液,不溶于醇、醚、氯仿及热水。水悬浮液对石蕊试纸呈中性。有40000~180000分子量的不同类型,一般含甲氧基25~33%。在225℃以下很安全,对光线亦安全,遇火燃烧。

质量规格(湘Q/HG297-81)

用途 用于石油、化工、建材、造纸、印染、食品、日化等工业做分散剂、增稠剂、粘结剂、赋形剂和成膜剂等。

包装贮运 编织袋内衬塑料袋装,净重10kg/袋。

国内生产厂 山西晋县化工一厂、湖南湘潭化学助剂厂、辽宁锦西化工研究院。

随便看

 

离鸟网收录3541549条中英文词条,其功能与新华字典、现代汉语词典、牛津高阶英汉词典等各类中英文词典类似,基本涵盖了全部常用中英文字词句的读音、释义及用法,是语言学习和写作的有利工具。

 

Copyright © 2004-2024 vtrois.com All Rights Reserved
更新时间:2026/4/19 18:54:22