别名 豆胶、咸菁胶
编码 GB 20.021
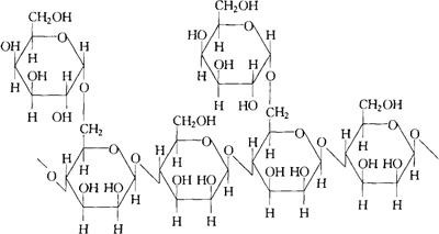
化学结构 由D-半乳糖和D-甘露糖两种单糖构成的多糖。半乳糖和甘露糖的比例为1∶2.1。甘露糖链以α-(1.6)键连接构成主链,主链上每隔一个甘露糖连接一个半乳糖。相对分子质量20600~39100。
组成的支链结构如下:

性状 奶油色松散状粉末,溶于水,不溶于醇、酮、醚等有机溶剂。常温下,它能分散于冷水中,形成粘度很高的水溶胶溶液,其粘度一般比天然植物胶、海藻酸钠、淀粉高5~10倍。pH6~11范围内是稳定的,pH7.0时粘度最高,pH3.5时粘度最低。田菁胶溶液属于假塑性非牛顿流体,其粘度随剪切率的增加而明显降低,显示出良好剪切稀释性能。能与络合物中的过渡金属离子形成具有三维网状结构的高粘度弹性胶冻,其粘度比原胶液高10~50倍,具良好的抗盐性能。
制法 将豆科植物田菁(S.cannabina Pers)种子的胚乳经粉碎过筛而成。
质量标准

毒理学依据
1.LD50 大鼠口服19.3g/kg(bw)(雄性);18.9g/kg(bw)(雌性)。
2.ADI 6.22mg/kg(bw)。
使用 乳化剂、稳定剂、增稠剂和胶凝剂。
使用范围及使用量
(1)我国《食品添加剂使用卫生标准》(GB 2760-1996)规定:用于植物蛋白饮料,1.0g/kg;挂面、方便面和面包,2.0g/kg;冰淇淋,5.0g/kg。
(2)实际使用参考:因其结构和性能近似瓜尔豆胶,具体使用可参考瓜尔豆胶。