网站首页  词典首页


请输入您要查询的字词:

 

字词 用水平面代替水准面的限度
类别 中英文字词句释义及详细解析
释义

用水平面代替水准面的限度


当测区范围较小,可以用水平面代替水准面,即以平面代替曲面。这样的替代可使测量的计算和绘图工作大为简化。但当测区范围较大时,就必须顾及地球曲率的影响。那么多大范围内才允许用水平面代替水准面呢?下面就来讨论这个问题。

1.用水平面代替水准面对水平距离的影响

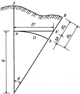
如图1-15所示,设地球是半径为R的圆球。地面上A、B两点投影到大地水准面上的距离为弧长D,投影到水平面上的距离为D′,显然两者之差即为用水平面代替水准面所产生的距离误差,设其为△D,则

△D=D′-D=Rtanθ-Rθ=R(tanθ-θ)式中θ——弧长D所对应的圆心角。

将tanθ用级数展开并略去高次项得:

又因

则有距离误差

距离相对误差

图1-15 水平面代替水准面的影响

以R=6371km和不同的D值代入上式,求出距离误差和距离相对误差,结果见表1-2。

表1-2 地球曲率对水平距离的影响

由表1-2可以看出,距离为10km时,产生的相对误差为1∶1220000,小于目前最精密测距的允许误差1∶1000000。因此可以认为,在半径为10km的区域,地球曲率对水平距离的影响可以忽略不计。

2.用水平面代替水准面对水平角的影响

从球面三角学可知,球面上三角形内角之和比平面上相应的三角形内角之和多出一个球面角超ε,如图1-16所示。其值可根据多边形面积求得,即:

式中 ε——球面角超,以秒为单位;

P——球面多边形面积;

ρ——206265″;

R——地球半径。

图1-16 球面角超

把不同的球面多边形面积代入上式,求出球面角超,见表1-3。

表1-3 水平面代替水准面对水平角的影响

计算结果表明,当测区范围在100km2时,用水平面代替水准面对角度的影响仅为0.51″,在普通测量工作中可以忽略不计。

3.用水平面代替水准面对高程的影响

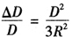
如图1-15所示,地面点B的绝对高程为该点沿铅垂线到大地水准面的距离HB,当用过a点与大地水准面相切的水平面代替大地水准面时,B点的高程为,两者的差值为bb′,此即为用水平面代替大地水准面所产生的高程误差,用△h表示。由图1-15可得:

(R+△h)2=R2+D′2

即:

因为水平距离D′与弧长D很接近,取D′=D;又因△h远小于R,取2R+△h为2R,代入上式得:

以R=6371km和不同的D值代入上式,算得相应的△h值列于表1-4中。

表1-4 水平面代替水准面对高程的影响

由上表可知,用平面代替曲面作为高程的起算面,对高程的影响是很大的,例如距离200m时,就有3mm的误差,超过了允许的精度要求。因此,即便是距离很短,也不能忽视地球曲率对高程的影响。

随便看

 

离鸟网收录3541549条中英文词条,其功能与新华字典、现代汉语词典、牛津高阶英汉词典等各类中英文词典类似,基本涵盖了全部常用中英文字词句的读音、释义及用法,是语言学习和写作的有利工具。

 

Copyright © 2004-2024 vtrois.com All Rights Reserved
更新时间:2026/4/18 14:54:27