网站首页  词典首页


请输入您要查询的字词:

 

字词 用回归直线分析法预测收音机生产量
类别 中英文字词句释义及详细解析
释义

用回归直线分析法预测收音机生产量


某电子厂1980年用回归直线分析法预测1981年的的收音机生产量,为安排下年度的生产计划提供了科学依据。

一、收集数据

先将以往积累的资料,以年份为横坐X,每年销售量为纵坐标Y,列成下表(见表1):

表1

将上表中数字点在一直角坐标系上,可以看出,这些点大致接近于一条直线(见图1)。

图1

二、作回归直线

回归直线必须在直角坐标系描点分布的中间,并尽可能使回归直线两边的描点数相等。从图1上可见此直线两边的描点数正好各为三点。因此可以用回归方程Y=a+bX来表示年份X与销售量Y之间的函数关系,某中a为回归方程中的常数,b为回归系数。根据此回归直,可近似预测出1981年(X=7)的销售量(Y)为22.1万架。也就是说,1981年的生产计划可安排22.1万架左右。

但是,由于直接利用图1上的回归直线来预测的误差较大,因此,再结合用最小平方法来求出误差最小的回归直线方程,以提高预测的精度。

三、用最小平方法求回归直线方程

最小平方法使倾向性的回归直线到实际各点之间的距离最小。说明这条回归线最能代表实际资料的发展趋势,因而也最适宜作为预测标准。

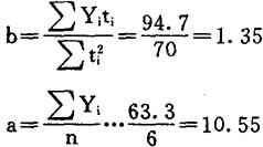
设:回归直线方程Y:=a+bti

列出表2,并求b、a。

根据公式

Yi=a+bti=10.55+1.35ti

根据回归方程Yi=10.55+1.35预测1981年该厂收音机生产计划水平。

∵ 1980年的ti=5,∴ 1981年的ti=7;

∴ yt=10.55+1.35×7=20(万)。

四、计算预测数与实际数值间的标准方差(σ)

根据公式:

再计算1981年计划预测数在实现概率95.5%的数值。根据正态分布规律,实现概率95.5%时,其控制范围在Yt±2σ之内。

因此,1981年收音机生产量预测数的分布上限和下限分别为:

上限 Yt+2σ=20+2×1.6=23.2万

下限 Yt+2σ=20+2×1.6=16.8万

作回归直线的上限、下限控制图(见图2):

图2

五、结论

该厂1981年收音机生产计划水平通过回归直线法预测是近似22.1万架,并用最小平方法预测,实现概率在95.5%时,1981年生产计划水平在16.8万架~23.2万架之间。这两种预测方法结合起来分析,所预测的数字基本是一致的。根据该厂的生产能力和其他方面的原因,最后,初步确定1981年的收音机生产量为23万架。

随便看

 

离鸟网收录3541549条中英文词条,其功能与新华字典、现代汉语词典、牛津高阶英汉词典等各类中英文词典类似,基本涵盖了全部常用中英文字词句的读音、释义及用法,是语言学习和写作的有利工具。

 

Copyright © 2004-2024 vtrois.com All Rights Reserved
更新时间:2026/4/19 10:12:12