别名 维生素H、辅酶R、VBT
编码 GB 16.000
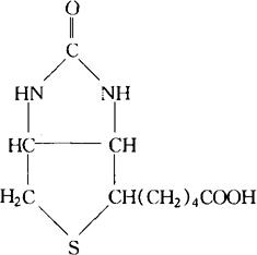
化学结构

C10H16N2O3S 相对分子质量 244.31
性状 白色结晶性粉,对空气和热稳定,25℃时1g溶于5000mL水中、1300mL乙醇中,易溶于热水、稀碱液,不溶于其他一般有机溶剂。
制法 以2-氨基-3-巯钠丙酸为原料,与一氯醋酸缩合,经酰化、酯化、水解、脱羧、缩合、肟化、氢化、水解、环合等工艺合成。
质量标准

鉴别方法
(1)本品溴化钾的红外吸收光谱与标准品的图谱一致。
(2)本品饱和溶液温热时,滴加溴试剂,〔取2~3mL溴(Br2〕与具塞玻瓶中的100mL冷水混和摇震,制成溴饱和溶液脱色。
毒理学依据
(1)本品存在于天然食品中,如蛋黄、肝、肾脏、牛乳、酵母等,是机体中B族维生素之一。
2.GRAS FDA21CFR 182.5159。
使用 营养强化剂。
1.使用注意事项 本品是人体脂肪代谢及其他羧基化反应的重要辅酶,它在脂肪与糖代谢以及核酸与蛋白质合成方面有一定的作用。英国提出参照营养摄入量(RNI)10~200μg/(d·人);美国推荐成人容许摄入量为30~100μg/(d·人)。
2.使用范围及使用量 我国《食品营养强化剂使用卫生标准》(GB 14880-94)规定:生物素用于婴幼儿食品,0.10~0.40mg/kg;饮液,0.02~0.08mg/kg。