网站首页  词典首页


请输入您要查询的字词:

 

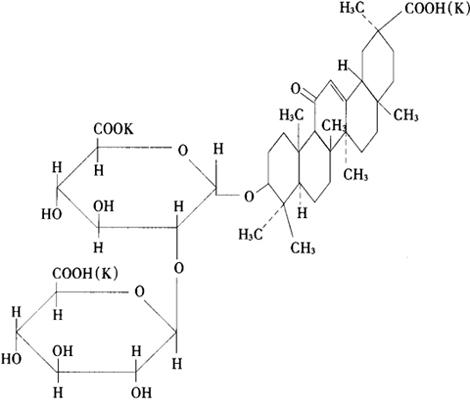
字词 甘草酸一钾及甘草酸三钾
类别 中英文字词句释义及详细解析
释义

甘草酸一钾及甘草酸三钾


结构式:

分子式:C42H61O16K

相对分子质量:860.98

甘草酸一钾及甘草酸三钾的鉴别

本品呈现甘草酸反应和钾离子反应。

1.试剂和溶液

1.1 乙醇 分析纯。

1.2 0.5%香草醛的硫酸溶液。

2.操作步骤

2.1 甘草酸反应 取本品0.5~1mg,加乙醇0.5mL使之溶解,再加0.5%香草醛的硫酸溶液1~2mL,溶液呈黄色并渐变为紫色,加水约2mL,产生蓝色絮状物。

2.2 钾离子反应。

2.2.1 在进行焰色反应试验时,呈淡紫色,若火焰呈黄色时,用钴玻璃观察,呈现红紫色。

2.2.2 加新配制的酒石酸氢钠溶液(1+10)于钾盐中性溶液(1+20)时,生成白色结晶沉淀(如用玻璃棒擦试管内壁可加速沉淀生成)。分离沉淀,加氨试液、氢氧化钠溶液(1+25)或无水碳酸钠溶液(1+8)时,沉淀溶解。

随便看

 

离鸟网收录3541549条中英文词条,其功能与新华字典、现代汉语词典、牛津高阶英汉词典等各类中英文词典类似,基本涵盖了全部常用中英文字词句的读音、释义及用法,是语言学习和写作的有利工具。

 

Copyright © 2004-2024 vtrois.com All Rights Reserved
更新时间:2026/4/21 1:52:20