网站首页  词典首页


请输入您要查询的字词:

 

字词 甘草
类别 中英文字词句释义及详细解析
释义

甘草


别名 甘草末、甘草水、甘草浸膏

编码 GB 19.009;INS 958

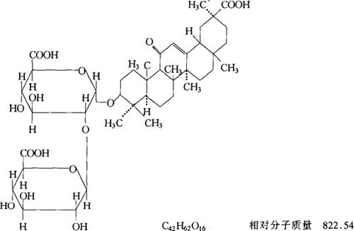
化学结构本品主要甜味成分为甘草酸与两分子葡萄糖醛酸结合的配糖体,称为甘草苷或甘草甜(Glycyrrhizin)。

性状 甘草末为淡黄色粉末,有微弱的特异臭,味甜而稍有后苦味。甘草水为淡黄色溶液。甘草浸膏为黑褐色或棕褐色膏状体,有甜味及微弱的香气,稍带苦味,遇热软化,易吸潮。

制法 将干燥的甘草根、茎破碎即为甘草末,用水抽提得甘草水,将甘草水浓缩得甘草浸膏。

质量标准

毒理学依据 甘草是中国传统使用的调味料和中草药,在长期使用中未发现对人体有什么危害,在正常使用量时是安全的。以下为甘草酸毒理学依据。

1.LD50 小鼠口服大于10g/kg(bw)。

2.小鼠骨髓微核试验 无致突变作用。

3.GRAS FDA-21CFR 184.1408。

使用 甜味剂。

使用范围及使用量

(1)我国《食品添加剂卫生标准》(GB 2760-1996)规定:可按生产需要适量用于肉类罐头、调味料、糖果、饼干、蜜饯、凉果、饮料。

(2)美国已将本品用于某些名牌饮料。

(3)日本规定:甘草甜除用于酱油、豆酱、腌制品、风味食品、冷冻甜食之外,还有许多与其它甜味剂(如甜菊糖、阿斯巴甜、糖精等)混配的混合型甜味剂。

(4)FEMA规定:甘草甜的最高用量,在饮料中为130mg/kg;在糖果中为460mg/kg,在焙烤食品中为75mg/kg;在胶姆糖中为3200mg/kg。

(5)实际使用参考:使用甘草甜可以克服使用白糖所引起的发酵、酸败等缺点,可使啤酒的发泡力增强。用于糖果、巧克力、口香糖,兼有润喉、消炎、洁齿的功效。用于酱油及腌制品,可以抑制盐味,增强风味;用于面包、蛋糕、饼干等食品,具有味甜、柔软、疏松、增泡的效果。

随便看

 

离鸟网收录3541549条中英文词条,其功能与新华字典、现代汉语词典、牛津高阶英汉词典等各类中英文词典类似,基本涵盖了全部常用中英文字词句的读音、释义及用法,是语言学习和写作的有利工具。

 

Copyright © 2004-2024 vtrois.com All Rights Reserved
更新时间:2026/4/21 2:30:46