网站首页  词典首页


请输入您要查询的字词:

 

字词 甘草
类别 中英文字词句释义及详细解析
释义

甘草


别名:甘草末,甘草水,甘草浸膏

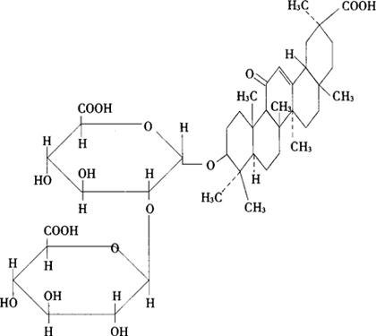
结构式:本品主要甜味成分为甘草酸与2分子葡糖醛酸结合的配糖体,称为甘草苷或甘草甜(Glycyrrhizin)

分子式:C42H62O16

相对分子质量:822.54

甘草的鉴别

本品主要鉴别甘草酸的存在。

1.试剂和溶液

1.1 乙醇 分析纯。

1.2 0.5%香草醛硫酸溶液。

2.操作步骤

称取本品约0.5g,用水提取,蒸干水溶液,加乙醇溶解残渣,再加0.5%香草醛的硫酸溶液1~2mL,溶液呈黄色并渐变为紫色,加水约2mL,产生蓝色絮状物。

随便看

 

离鸟网收录3541549条中英文词条,其功能与新华字典、现代汉语词典、牛津高阶英汉词典等各类中英文词典类似,基本涵盖了全部常用中英文字词句的读音、释义及用法,是语言学习和写作的有利工具。

 

Copyright © 2004-2024 vtrois.com All Rights Reserved
更新时间:2026/4/21 9:49:23