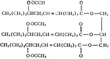
【结构式】:

【释文】:
性质 淡黄色明亮液体。微具臭味。分子量1060。酸值1。碘值76。皂化值300。相对密度0.965~0.967(25℃)。粘度2.4沲(25℃)。凝固点-35℃。闪点(开杯法)290℃。折光率1.4685(25℃)。溶于酯类、醚类、酮类、脂肪烃和芳香烃,部分溶于醇类、不溶于水。
用途 本品可作为乙烯基塑料、纤维素塑料和合成橡胶的增塑剂,挥发性低,热稳定性和电性能优良,并兼有润滑性。与主增塑剂配合,适用于电线和电缆护套等挤塑制品,其用量一般为增塑剂总量的10~20%。本品用于橡胶时,可赋予制品良好的耐寒性和脱模性。
国外商品名
