网站首页  词典首页


请输入您要查询的字词:

 

字词 瓜尔胶
类别 中英文字词句释义及详细解析
释义

瓜尔胶


别名 瓜尔豆胶、胍尔胶

编码 GB 10.025;INS 412

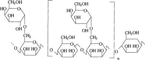
化学结构 为一种半乳甘露聚糖。甘露糖和半乳糖比例为2∶1。甘露糖构成主链,平均每隔两个甘露糖连接一个半乳糖。

相对分子质量 200000~300000

性状 白色或稍带黄褐色粉末,有的呈颗粒状或扁平状,无臭或稍有气味,保水性强,以低浓度可制成高粘度溶液(完全溶解的1%瓜尔胶水溶液,粘度为3000mPa·s)。水溶液呈中性,有较好的耐碱性和耐酸性。加入硼酸或过渡金属离子(如Ti),瓜尔胶水溶液在一定pH下粘度增加或形成凝胶。

制法 瓜尔豆和假补骨脂的种子胚乳,经焙炒,用热水提取,除去不溶物后,浓缩、干燥、粉碎而成。

质量标准

鉴别方法

(1)本品溶液中加少量硼酸钠应形成凝胶。

(2)取本品2g,用异丙醇约4mL充分湿润,在剧烈搅拌下加水200mL,继续搅拌至胶体完全分散均匀,形成乳白色粘稠溶液,置沸水浴中加热10min,冷却至室温,其粘度无明显增加(与槐豆胶相区别)。

(3)半乳糖和甘露糖的鉴别按阿拉伯胶鉴别方法测定。其中点样于色谱板上的标准液应含1~10μg半乳糖和甘露糖。

(4)配制含碘0.5%、碘化钾1%的本品水溶液,经研磨后置于载玻片上,在显微镜下检验,瓜尔豆胶显示紧密的圆形至梨形的细胞,其胞内物呈黄色至棕色。槐豆胶则为长管状细胞,相互分开或稍有间隙,胞内物呈棕色,但与瓜尔豆胶相比,匀称性很差。

毒理学依据

1.LD50 大鼠口服7060mg/kg(bw)。

2.GRAS FDA-21CFR 184.1339。

3.ADI 无需规定(FAO/WHO,1994)。

使用 增稠剂、乳化剂、成膜剂、成型剂和稳定剂。

1.使用注意事项

(1)使用时先使其湿润,在充分搅拌下使其溶解,否则易结块。如用专用漏斗使其分散在旋涡中,也可以避免结块。

(2)瓜尔胶与某些线性多糖,如黄原胶、琼脂、κ-型卡拉胶等发生较强的吸附作用,使粘度大大提高。与槐豆胶的作用较弱,粘度提高少。在低离子强度下,瓜尔豆胶与阴离子聚合物及与阴离子表面活性剂之间有很强的粘性协同作用。

2.使用范围及使用量

(1)我国《食品添加剂使用卫生标准》(GB 2760-1996)规定:可按生产需要适量用于各类食品。

(2)FAO(1984)规定:用途及限量为,用于青刀豆和黄荚刀豆、甜玉米、芦笋、青豌豆、蘑菇等罐头,10g/kg(单用或与其它增稠剂合用,产品含奶油或其它油脂);加工干酪制品,8g/kg(单用或与其它增稠剂合用,暂定);乳脂干酪,5g/kg(单用或与其它增稠剂合用);酪农干酪,5g/kg(按稀奶油混合物计,单用或与其它稳定剂及载体合用);沙丁鱼及其制品、鲭鱼及鲐鱼等罐头,20g/kg(按灌装汤汁计,单用或与其它增稠剂或胶凝剂合用);配制的婴儿食品,1g/kg;芥菜型酸黄瓜、肉汤、羹,按GMP;胡萝卜,10g/kg(单用或与其它增稠剂和改性剂合用,仅用于巴氏杀菌掼奶油或超高温杀菌掼打稀奶油及消毒稀奶油);发酵后经加热处理的增香酸奶,5000mg/kg(单用或与其它稳定剂合用);冷饮,10g/kg(按最终产品计,单用或与其它乳化剂、稳定剂和增稠剂合用)。

(3)美国FDA(1989)规定:用途及限量为用于烘烤食品和烘烤基料,0.35%;早餐面食,1.2%;奶酪0.8%;仿制的人造奶酪产品,1.0%;脂肪和油脂,2.0%;肉汁和调味品,1.2%;果酱和果冻,1.0%;牛奶产品,0.6%;加工的蔬菜和蔬菜汁,2.0%;汤和汤料,0.8%;甜沙司、糖霜和糖浆,1.0%;所有和其它食品,按正常生产需要不超过0.5%。

随便看

 

离鸟网收录3541549条中英文词条,其功能与新华字典、现代汉语词典、牛津高阶英汉词典等各类中英文词典类似,基本涵盖了全部常用中英文字词句的读音、释义及用法,是语言学习和写作的有利工具。

 

Copyright © 2004-2024 vtrois.com All Rights Reserved
更新时间:2026/4/21 7:30:02