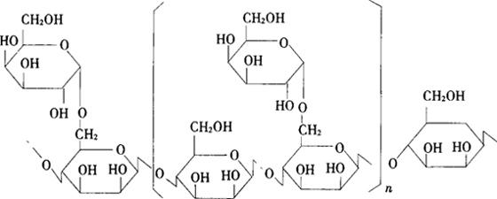
结构式:

相对分子质量:200000~300000
瓜尔胶的鉴别
1.操作步骤
1.1 凝胶试验 本品溶液中加少量硼酸钠应形成凝胶。
1.2 粘度试验 取本品2g,用异丙醇约4mL充分湿润,在剧烈搅拌下加水200mL,继续搅拌至胶体完全分散均匀,形成乳白色粘稠溶液,置沸水浴中加热10min,冷却至室温,其粘度无明显增加(与槐豆胶相区别)。
1.3 半乳糖和甘露糖的鉴别 按阿拉伯胶鉴别方法3测定。其中点样于色谱板上的标准液,应含1~10ug半乳糖和甘露糖。
1.4 显微镜检查 配制含碘0.5%、碘化钾1%的本品水溶液,经研磨后置于载玻片上,在显微镜下检验,瓜尔胶显示紧密的圆形至梨形的细胞,其胞内物呈黄色至棕色。槐豆胶则为长管状细胞,相互分开或稍有间隙,胞内物呈棕色,但与瓜尔胶相比,匀称性很差。